Studio di una funzione goniometrica

Studiare la funzione

e tracciare il suo grafico.

  • Dominio della funzione

    La funzione è definita per qualsiasi valore reale di x:

    D = (-∞, +∞)

  • Simmetrie e periodicità

    La funzione è periodica, in particolare sin(2x) ha periodo Π e sin x ha periodo 2Π per cui il periodo T della funzione è: 2Π. Inoltre, essendo:

    f(-x) = -2sinx - sin2x = -f(x)

    la funzione è dispari e quindi è simmetrica rispetto all'origine degli assi. Pertanto possiamo limitarci a studiare la funzione solo nell'intervallo [0, 2Π].

  • Segno e intersezioni con gli assi

    Intersezione con gli assi:

    La funzione può essere scritta nella forma:

    y = 2sinx + sin2x = 2sinx + 2sinxcosx = 2sinx(1+cosx)

    E ponendo y=0 si ottiene:

    2sinx(1+cosx) = 0 → 2sinx=0, 1 + cosx = 0 → x = 0, Π, 2Π

    Le intersezioni sono quindi:

    (0, 0), (Π, 0), (2Π, 0)

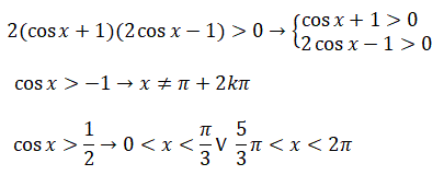
    Studiamo il segno:

  • Asintoti

    Non ci sono asintoti.

  • Cresenza, decrescenza, massimi e minimi

    Calcoliamo la derivata prima della funzione:

    La funzione y' può essere scritta nella forma:

    Studiamo il segno della derivata prima ossia:

    Riassumiamo nel seguente schema il segno di y':

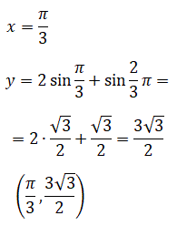
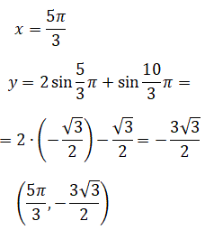
    La funzione ha un massimo relativo in

    un minimo relativo in

    un flesso a tangente orizzontale in

  • Concavità e flessi

    Calcoliamo la derivata seconda:

    Esaminiamo il segno della derivata seconda:

    Lo schema del segno di y" è:

    Ne segue che la funzione ha tre punti di flesso in

  • Grafico della funzione

    Ora abbiamo tutte le informazioni per tracciare il grafico della funzione:



© giuseppe sarnataro