Studio di una funzione logaritmica

Studiare la funzione

e tracciare il suo grafico.

  • Dominio della funzione

    La funzione essendo il prodotto tra una funzione polinomiale e una funzione logaritmoca è definita solo se l'argomento del logaritmo è strettamente positivo e quindi bisogna porre la condizione:

    x>0

    Pertanto il dominio della funzione è:

    D = (0, +∞)

  • Simmetrie e periodicità

    Si verifica che f(-x) ≠ f(x) e f(-x) ≠ -f(x), pertanto la funzione non è nè pari nè dispari.

  • Segno e intersezioni con gli assi

    Studiamo il segno:

    Per determinare il segno della funzione occorre risolvere la disequazione 4x4lnx>0. Il primo fattore 4x4 è sempre maggiore di zero per ogni x del dominio di definizione mentre il secondo fattore è maggiore di zero per x>1:

    Da ciò si deduce che il grafico della funzione interseca l'asse delle x nel punto A(1, 0). Lo schema del segno della funzione è quindi:

    Dalle informazioni aquisite si deduce che il grafico della funzione appartiene alle regioni del piano cartesiano non colorate.

  • Asintoti

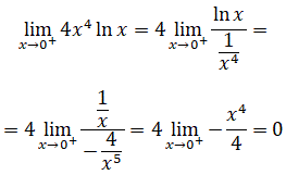
    Asintoti verticali: calcoliamo il limite della funzione per x che tende a zero da destra:

    Dunque per x=0 la funzione presenta un punto di discontinuità.

    Asintoti orizzontali: calcoliamo il limite della funzione per x→+∞.

    La funzione non ha asintoti orizzontali.

    Asintoti obliqui:

    Non esistono nemmeno asintoti obliqui.

  • Cresenza, decrescenza, massimi e minimi

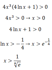
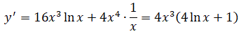
    Calcoliamo la derivata prima della funzione:

    Studiamo il segno della derivata prima ossia:

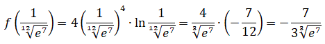
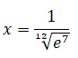
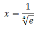
    La funzione ha un minimo relativo in

    in cui vale:

    Riassumiamo nel seguente schema il segno di y':

  • Concavità e flessi

    Calcoliamo la derivata seconda:

    Esaminiamo il segno della derivata seconda:

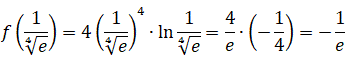
    Ne segue che la funzione ha un punto di flesso in

    in cui vale:

    Lo schema del segno di y'' è:

  • Grafico della funzione

    Ora abbiamo tutte le informazioni per tracciare il grafico della funzione:



© giuseppe sarnataro