Studio di una funzione irrazionale fratta con indice pari

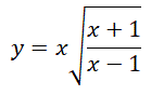
Studiare la funzione

e tracciare il suo grafico.

  • Dominio della funzione

    La funzione essendo il prodotto tra una funzione polinomiale e una funzione irrazionale con indice pari è definita quando il radicando è positivo o nullo e nel nostro caso ciò avviene quando la frazione contenuta dentro la radice è positiva o nulla cioè

    Osserviamo che per x=-1 si ha y=0 mentre per x=1 la funzione non è definita perchè si annulla il denominatore del radicando.

    Il dominio è quindi: D = (-∞, -1] ∪ (1, +∞)

  • Simmetrie e periodicità

    Si verifica che f(-x) ≠ f(x) e f(-x) ≠ -f(x), pertanto la funzione non è nè pari nè dispari.

  • Segno e intersezioni con gli assi

    Studiamo il segno:

    Risolvendo la disequazione si ottiene:

    Dunque la funzione è positiva per x > 1 è negativa per x < -1 ed è nulla per x=-1, tocca l'asse delle x nel punto (-1, 0) e non interseca l'asse delle y. Dalle informazioni aquisite si deduce che il grafico della funzione appartiene alle regioni del piano cartesiano non colorate.

  • Asintoti

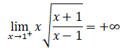
    Asintoti verticali: essendo

    la retta x=1 è un asintoto verticale per la funzione.

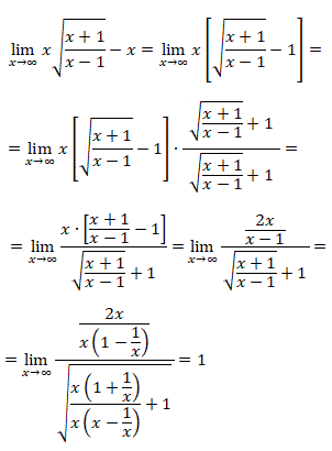
    Asintoti orizzontali: calcoliamo il limite della funzione per x→±∞:

    Non esistono quindi asintoti orizzontali.

    Asintoti obliqui: calcoliamo il limite del rapporto f(x)/x per x→+∞:

    Essendo finito il limite calcoliamo il limite (f(x)-mx) per x che tende a più infinito.

    Si ha quindi un asintoto obliquo di equazione y=x+1

  • Cresenza, decrescenza, massimi e minimi

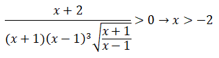
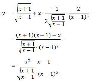
    Calcoliamo la derivata prima della funzione:

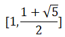
    Osserviamo che la derivata prima si annulla per x2-x-1=0 e cioè:

    ed è positiva per:

    Pertanto la funzione:

    • è crescente negli intervalli

    • è decrescente nell'intervallo

    • ha un minimo relativo per

  • Concavità e flessi

    Calcoliamo la derivata seconda partendo dall'espressione di y' nella forma equivalente:

    e tenendo conto che la derivata del prodotto di tre funzioni f(x), g(x), h(x) è data da:

    derivando e semplificando si ottiene:

    Esaminiamo il segno della derivata seconda:

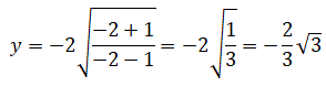
    ed è nulla per x=-2 in corrispondenza del quale si ha:

    E quindi il punto:

    rappresenta un punto di flesso per la funzione. Costruiamo lo schema del segno della derivata seconda:

    Si deduce che il grafico della funzione:

    • è convessa negli intervalli [-2, -1] e (1, +∞)

    • è concava nell'intervallo (-∞, -2)

  • Grafico della funzione

    Ora abbiamo tutte le informazioni per tracciare il grafico della funzione:



© giuseppe sarnataro