Studio di una funzione logaritmica

Studiare la funzione

e tracciare il suo grafico.

  • Dominio della funzione

    Una funzione logaritmica è definita solo se l'argomento è strettamente positivo e quindi bisogna porre la condizione:

    x2 - x >0 → x < 0 ∨ x > 1

    Pertanto il dominio della funzione è:

    D = (-∞, 0) ∪ (1, +∞)

  • Simmetrie e periodicità

    Si verifica che f(-x) ≠ f(x) e f(-x) ≠ -f(x), pertanto la funzione non è nè pari nè dispari.

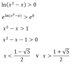
  • Segno e intersezioni con gli assi

    Studiamo il segno:

    Per determinare il segno della funzione occorre risolvere la disequazione ln(x2-x)>0:

    Da ciò si deduce che il grafico della funzione interseca l'asse delle x nei punti:

    Lo schema del segno della funzione è quindi:

    Dalle informazioni aquisite si deduce che il grafico della funzione appartiene alle regioni del piano cartesiano non colorate.

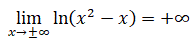
  • Asintoti

    Asintoti verticali: calcoliamo il limite della funzione per x che tende a zero da sinistra e il limite per x che tende a 1 da destra:

    Dunque la retta x=0 è un asintoto verticale sinistro mentre la retta x=1 è un asintoto verticale destro per il grafico della funzione.

    Asintoti orizzontali: calcoliamo il limite della funzione per x→+;∞ e per x→-;∞.

    La funzione non ha asintoti orizzontali.

    Asintoti obliqui:

    Non esiste l'asintoto obliquo.

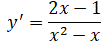
  • Cresenza, decrescenza, massimi e minimi

    Calcoliamo la derivata prima della funzione:

    Studiamo il segno della derivata prima ossia:


    Pertanto la funzione non ha nè massimi nè minimi.

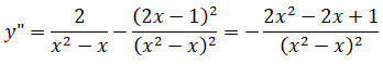
  • Concavità e flessi

    Calcoliamo la derivata seconda:

    Esaminiamo il segno della derivata seconda:

    Il numeratore è sempre negativo mentre il denominatore è sempre positivo e quindi la derivata seconda risulta sempre negativa. Ne segue che la funzione non ha flessi e lo schema del segno di y" è:

    Possiamo quindi dedurre che il grafico della funzione:

    • è sempre concava nell'intervallo di definizione.

  • Grafico della funzione

    Ora abbiamo tutte le informazioni per tracciare il grafico della funzione:



© giuseppe sarnataro