Studio di una funzione irrazionale con indice pari

Studiare la funzione

e tracciare il suo grafico.

  • Dominio della funzione

    Essendo una funzione irrazionale di indice pari il suo dominio è costituito da ogni valore di x appartenente all'insieme dei numeri reali tali da rendere il radicando positivo o nullo e nel nostro caso bisogna porre x3-3x+2≥0 cioè

    x3-3x+2 ≥ 0 → (x+2)(x-1)2 ≥ 0 → x ≥ -2

    Il dominio è quindi: D = { x ∈R | x ≥ -2 }

  • Simmetrie e periodicità

    Si verifica che f(-x) ≠ f(x) e f(-x) ≠ -f(x), pertanto la funzione non è nè pari nè dispari.

  • Segno e intersezioni con gli assi

    Studiamo il segno:

    Risolvendo la disequazione si ottiene:

    x3-3x+2 > 0 → x ≠ 1 ∧ x > -2

    Dunque la funzione è sempre positiva per x ≠ 1 ∧ x > -2 ed è nulla per x=-2 e x=1.

    Determiniamo i punti in cui il grafico tocca l'asse x ponendo y = 0 nell'equazione della funzione:

    x3-3x+2 = 0 → x = -2 ∨ x = 1

    Dunque il grafico tocca l'asse x nei punti (-2, 0) e (1, 0).

    Determiniamo i punti di intersezione con l'asse y ponendo x = 0 nell'equazione della funzione:

    Il grafico interseca l'asse y nel punto (0, √2).

    Dalle informazioni aquisite si deduce che il grafico della funzione appartiene alle regioni del piano cartesiano non colorate.

  • Asintoti

    Asintoti verticali: essendo la funzione continua nel suo dominio non ha asintoti verticali.

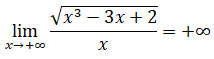
    Asintoti orizzontali: calcoliamo il limite della funzione per x→+∞:

    Non esistono quindi asintoti orizzontali.

    Asintoti obliqui: calcoliamo il limite del rapporto f(x)/x per x→+∞:

    Non esistono asintoti obliqui.

  • Cresenza, decrescenza, massimi e minimi

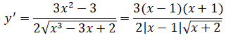
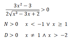
    Calcoliamo la derivata prima della funzione:

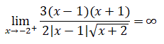
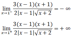
    Osserviamo che la derivata prima non è definita per x=-2 e x=1 e risulta:

    Essendo infinito il limite della derivata prima per x=-2+ il grafico della funzione ha nel punto (-2, 0) una tangente verticale. Inoltre:

    Essendo i limiti destro e sinistro per x=1 rispettivamente più infinito e meno infinito il punto (1, 0) è un punto di cuspide.

    Determiniamo i possibili punti stazionari uguagliando a zero la derivata prima:

    Studiamo il segno della derivata prima:

    Dal punto stazionario e dal segno della derivata prima si deduce che il grafico della funzione:

    • è crescente negli intervalli [-2, -1] e [1, +∞)

    • è decrescente nell'intervallo (-1, 1)

    • ha una semiretta a tangente verticale nel punto (-2, 0)

    • presenta un massimo relativo nel punto di ascissa x=-1 e y=2

  • Concavità e flessi

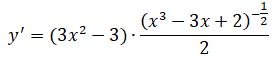
    Calcoliamo la derivata seconda partendo dall'espressione di y' nella forma:

    Derivando e semplificando si ottiene:

    Esaminiamo il segno della derivata seconda:

    e costruiamo lo schema del segno della derivata seconda:

    Dal segno della derivata seconda si deduce che il grafico della funzione:

    • è convessa nell'intervall0 (1, +∞)

    • è concava nell'intervallo (-2, 1)

  • Grafico della funzione

    Ora abbiamo tutte le informazioni per tracciare il grafico della funzione:



© giuseppe sarnataro