Studio di una funzione algebrica razionale intera
Studiare la funzione y = f(x) = x4 -3x2 + 2 e tracciare il suo grafico.
Dominio della funzione
Essendo una funzione algebrica intera il suo dominio è tutto l'insieme dei numeri reali: D = R, cioè l'intervallo (+∞, -∞).Simmetrie e periodicità
Verifichiamo se la funzione è pari:
Poniamo -x al posto di x nella funzione e vediamo se la nuova funzione risulta uguale a quella iniziale cioè, se f(-x)=f(x):(-x)4 -3(-x)2 + 2 = x4 -3x2 + 2
Essendo le due funzioni uguali la funzione è pari e quindi il suo grafico sarà simmetrico rispetto all'asse y.
Segno e intersezioni con gli assi
Studiamo il segno:
Risolviamo la disequazione di quarto gradox4 -3x2 + 2 > 0
Ponendo x2 = t si ottiene la disequazione di secondo grado:
t2 -3t + 2 > 0
che è soddisfatta per t < 1 ∨ t > 2 e sostituendo si ha:
x2 < 1 ∨ x2 > 2
Cioè:
x1 < 1 ∨ x2 < -1 ∨ x3 > √2 ∨ x4 > -√2
Lo schema del segno della funzione è quindi:
![]()
Per determinare i punti di intersezione con l'asse y poniamo x = 0 nell'equazione della funzione:
x = 0 → y = 04 -3⋅02 + 2 = 2
Il grafico della funzione interseca l'asse y nel punto di coordinate (0, 2).
Dalle informazioni aquisite si deduce che il grafico della funzione appartiene alle regioni del piano cartesiano non colorate, interseca l'asse y nel punto di coordinate (0, 2) e interseca l'asse delle x nei quattro punti di coordinate (-√2, 0) (-1, 0), (1, 0), (√2, 0).
![]()
Asintoti
Non ci sono asintoti verticali perchè il dominio non ha punti di discontinuità essendo definito nell'intervallo (+∞, -∞). Verifichiamo se ci sono asintoti orizzontali calcolando i limiti della funzione per x→-∞ e per x→+∞.
![]()
Non ci sono asintoti orizzontali. Verifichiamo se ci sono asintoti obliqui:
![]()
Non ci sono nemmeno asintoti obliqui.
Cresenza, decrescenza e massimi e minimi
La funzione è derivabile per ogni x del dominio. Calcoliamo la derivata prima della funzione:y' = 4x3 -6x = 2x(2x2 -3)
e determiniamo i punti stazionari uguagliamo a zero la derivata prima:
![]()
Studiamo il segno della derivata prima ponendo: 2x(2x2 -3) > 0
![]()
Dai punti stazionari e dal segno della derivata prima si deduce che il grafico della funzione:
è decrescente negli intervalli
![]()
è crescente negli intervalli
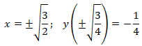
ha due minimi relativi simmetrici rispetto all'asse y di ascissa e ordinata
presenta un massimo relativo di ascissa x=0 e y(0)=2
Concavità e flessi
Calcoliamo la derivata seconda:y" = 12x2 -6 = 6(2x2 -1)
esaminiamo il suo segno:
y" > 0 → 6(2x2 -1) > 0 →
![]()
y" < 0 → 6(2x2 -1) < 0 →
![]()
y" = 0 → 6(2x2 -1) = 0 →
![]()
e costruiamo lo schema del segno della derivata seconda:
![]()
Dal segno della derivata seconda si deduce che il grafico della funzione:
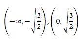
è convessa negli intervalli
![]()
è concava nell'intervallo
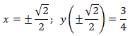
ha due punti di flesso di ascissa e ordinata:
Grafico della funzione
Ora abbiamo tutte le informazioni per tracciare il grafico della funzione:
![]()
Osservazioni generali:
Tutte le funzioni razionali intere presentano le seguenti caratteristiche:
Il dominio coincide con l'insieme dei numeri reali pertanto non possono avere:
punti di discontinuità
punti angolosi
cuspidi
flessi a tangenti verticali
asintoti