Studio di una funzione esponenziale con indice fratto

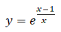
Studiare la funzione

e tracciare il suo grafico.

  • Dominio della funzione

    Essendo l'esponente una frazione bisogna porre la condizione che il denominatore sia diverso da zero e cioè:

    x ≠ 0

    Pertanto il dominio della funzione è:

    D = {x ∈ R | x ≠ 0}

  • Simmetrie e periodicità

    Si verifica che f(-x) ≠ f(x) e f(-x) ≠ -f(x), pertanto la funzione non è nè pari nè dispari.

  • Segno e intersezioni con gli assi

    Studiamo il segno:

    La funzione è sempre positiva per ogni x∈D, inoltre la funzione non è mai nulla e quindi non interseca l'asse x e non interseca nemmeno l'asse y perchè la funzione non è definita per x=0. Dunque il grafico della funzione occupa solo il I e il II qudrante.

  • Asintoti

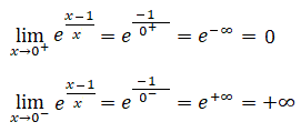
    Asintoti verticali: calcoliamo il limite della funzione per x che tende a zero da destra e da sinistra:

    Dunque la retta x=0 è un asintoto verticale sinistro per il grafico della funzione.

    Asintoti orizzontali: calcoliamo il limite della funzione per x→+;∞ e per x→-;∞.

    La retta y=e è quindi un asintoto orizzontale sia destro sia sinistro. il grafico della funzione.

    Asintoti obliqui: non esiste l'asintoto obliquo.

  • Cresenza, decrescenza, massimi e minimi

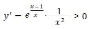
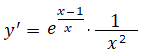
    Calcoliamo la derivata prima della funzione:

    Studiamo il segno della derivata prima ossia:

    Essendo entrambi i fattori sempre positivi per ogni x appartenente al dominio anche la derivata prima è sempre positiva per ogni x appartenente al dominio. Ne segue che la funzione è sempre crescente e non ha nè massimi nè minimi.

  • Concavità e flessi

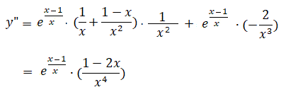
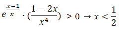
    Calcoliamo la derivata seconda:

    Esaminiamo il segno della derivata seconda:

    La derivata seconda si annulla per x=1/2 e sostituendo nella funzione si ottiene:

    Possiamo quindi dedurre che il grafico della funzione:

    • è convessa nell'intervall0 (-∞, 0) e (0, 1/2)

    • è concava nell'intervallo (1/2, +∞)

    • ha un flesso nel punto (1/2, 1/e)

  • Grafico della funzione

    Ora abbiamo tutte le informazioni per tracciare il grafico della funzione:



© giuseppe sarnataro