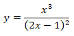
Studio di una funzione algebrica razionale fratta

Studiare la funzione e tracciare il suo grafico.

  • Dominio della funzione

    Essendo una funzione algebrica fratta il suo dominio è tutto l'insieme dei numeri reali escluso i valori di x che annullano il denominatore:

    (2x-1)2 ≠ 0 → x ≠ 1/2

    Pertanto il dominio è: D = { x ∈R | x ≠ 1/2 }

  • Simmetrie e periodicità

    Verifichiamo se la funzione è pari:

    Poniamo -x al posto di x nella funzione e vediamo se la nuova funzione risulta uguale a quella iniziale cioè, se f(-x)=f(x):

    Verifichiamo se la funzione è dispari cioè se -f(x)=f(-x)

    Pertanto, la funzione non è nè pari nè dispari.

  • Segno e intersezioni con gli assi

    Studiamo il segno:

    Risolviamo la disequazione

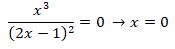
    Per determinare i punti di intersezione con l'asse x poniamo y = 0 nell'equazione della funzione:

    Si deduce che il grafico della funzione interseca l'asse y nel punto di coordinate (0, 0).

    Lo schema del segno della funzione è quindi:

    Dalle informazioni aquisite si deduce che il grafico della funzione appartiene alle regioni del piano cartesiano non colorate e passa per l'origine degli assi.

  • Asintoti

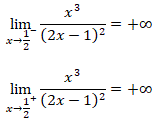
    Asintoti verticali: essendo x = 1/2 l'unico valore finito escluso dal dominio dobbiamo calcolare i limiti, destro e sinistro per x tendete a 1/2.

    Pertanto la retta x=1/2 è un asintoto verticale.

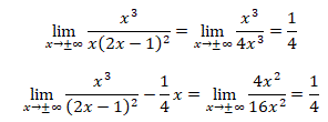
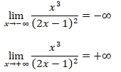
    Asintoti orizzontali: calcoliamo i limiti della funzione per x→-∞ e per x→+∞:

    Non ci sono asintoti orizzontali.

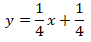
    Asintoti obliqui: calcoliamo il limite del rapporto f(x)/x per x→-∞ e per x→+∞ e se tale limite è un numero finito m calcoliamo il limite della differenza f(x)-mx per x che tende a infinito:

    La retta di equazione è un asintoto obliquo (sia destro sia sinistro).

  • Cresenza, decrescenza, massimi e minimi

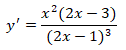
    Calcoliamo la derivata prima della funzione:

    e determiniamo i punti stazionari uguagliando a zero la derivata prima:

    Studiamo il segno della derivata prima:

    Dai punti stazionari e dal segno della derivata prima si deduce che il grafico della funzione:

    • è decrescente nell'intervallo (1/2, 3/2]

    • è crescente negli intervalli (-∞, 1/2), (1/2, +∞)

    • ha un flesso orizzontale nell'origine degli assi

    • presenta un minimo relativo di ascissa x=3/2 e y(3/2)=27/32

  • Concavità e flessi

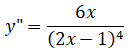
    Calcoliamo la derivata seconda:

    esaminiamo il suo segno:

    e costruiamo lo schema del segno della derivata seconda:

    Dal segno della derivata seconda si deduce che il grafico della funzione:

    • è convessa negli intervalli (0, 1/2), (1/2, +∞)

    • è concava nell'intervallo (-∞, 0)

    • ha un solo punto di flesso a tangente orizzontale nell'origine degli assi.

  • Grafico della funzione

    Ora abbiamo tutte le informazioni per tracciare il grafico della funzione:

Osservazioni generali:

Tutte le funzioni razionali frazionarie presentano le seguenti caratteristiche:

  • Il dominio è tutto l'insieme dei numeri reali esclusi quei valori di x che annullano il polinomio al denominatore.

  • Nel grafico sono presenti gli asintoti verticali in corrispondenza dei valori di x che annullano il denominatore.

  • Nel grafico sono presenti asintoti orizzontali se e solo se il polinomio al numeratore e il polinomio al denominatore hanno lo stesso grado.

  • Nel grafico sono presenti asintoti obliqui se e solo se il grado del polinomio al numeratore supera di 1 il grado del polinomio al denominatore.



© giuseppe sarnataro