Studio di una funzione esponenziale

Studiare la funzione

e tracciare il suo grafico.

  • Dominio della funzione

    La funzione essendo il prodotto tra una funzione polinomiale e una funzione esponenziale con base maggiore di 1 è definita per ∀x ∈ R.

  • Simmetrie e periodicità

    Si verifica che f(-x) ≠ f(x) e f(-x) ≠ -f(x), pertanto la funzione non è nè pari nè dispari.

  • Segno e intersezioni con gli assi

    Studiamo il segno:

    Essendo i due fattori sempre positivi per ogni x≠0 la funzione è sempre positiva ed è nulla per x=0 e quindi il grafico della funzione incontra gli assi solo nell'origine e occupa solo il I e il II qudrante.

  • Asintoti

    Asintoti verticali: essendo la funzione continua nel suo dominio il grafico non presenta asintoti verticali.

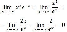
    Asintoti orizzontali: calcoliamo il limite della funzione per x→+;∞. Essendo tale limite una forma indeterminata applichiamo due volte il teorema di De L'Hopital:

    Calcoliamo il limite della funzione per x→-;∞

    Essendo finito il limite per x che tende a più infinito si deduce che il semiasse positivo delle ascisse è asintoto orizzontale destro per il grafico della funzione.

    Asintoti obliqui: calcoliamo il limite del rapporto f(x)/x per x→-∞:

    Essendo infinito il limite non esiste l'asintoto obliquo.

  • Cresenza, decrescenza, massimi e minimi

    Calcoliamo la derivata prima della funzione:

    Osserviamo che la derivata prima si annulla per x=0 e per x=2. Essendo f(0)=0 e f(2)=4e-2 i punti (0, 0) e (2, 4e-2) sono punti del grafico in cui la tangente è parallela all'asse x.

    Determiniamo il segno della derivata prima:

    Pertanto la funzione:

    • è crescente nell'intervallo (0, 2)

    • è decrescente negli intervalli (-∞, 0) e (2, +∞)

    • ha un minimo relativo nel punto (0, 0) e un massimo relativo nel punto (2, 4e-2)

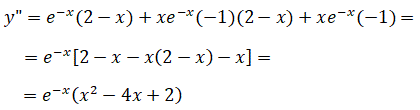
  • Concavità e flessi

    Calcoliamo la derivata seconda:

    Esaminiamo il segno della derivata seconda:


    Possiamo quindi dedurre che il grafico della funzione:

    • è convessa negli intervalli (-∞, 2-√2] e [2+√2, +∞)

    • è concava nell'intervallo (2-√2, 2+√2)

    • ha un flesso per x= 2-√2

    • ha un flesso per x= 2+√2

  • Grafico della funzione

    Ora abbiamo tutte le informazioni per tracciare il grafico della funzione:



© giuseppe sarnataro