Teorema di De l'Hopital

Teorema di De l'Hopital:

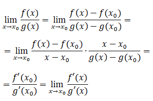
Siano f(x) e g(x) due funzioni derivabili in un intorno di x0 (tranne eventualmente in x0) e sia g'(x0)≠0 nell'intorno di x0 (tranne eventualmente in x0) e se esiste (finito o infinito) il limite

e sia

Allora:


Dimostrazione:

Essendo f(x0)= g(x0)=0 e g'(x0)≠0 si ha:


Il teorema di De l'Hopital detto anche regola De l'Hopital permette, in alcuni casi, di poter calcolare il limite del rapporto di due funzioni che si presenta nella forma indeterminata 0/0 oppure ∞/∞ mediante il limite del rapporto delle loro derivate se sono soddisfatte tutte le ipotesi del teorema. Vediamo alcuni esempi:

  • Esempio 1: Determinare il limite:


    Il limite si presenta nella forma indeterminata 0/0. Vediamo allora se possiamo calcolare il valore del limite applicando la regola De l'Hopital verificando prima le condizioni che costituiscono le ipotesi del teorema:

    • Prima condizione: derivabilità in un intorno di x=0.

      Sia il numeratore che il denominatore sono derivabili in R e quindi sono derivabili anche in un intorno di x=0.

    • Seconda condizione: la derivata del denominatore deve essere diversa da zero in un intorno di zero.

      La derivata del denominatore:

      D[x3+2x]=3x2+2

      è diversa da zero in un intorno di zero.

    • Terza condizione: Esiste il limite del rapporto delle derivate per x che tende a zero.

      Il limite del rapporto delle derivate


      esiste.

    La regola De l'Hopital ci garantisce quindi l'uguaglianza tra i due limiti:

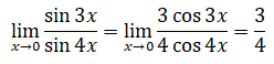
  • Esempio 2:Determinare il limite:

    Il limite si presenta nella forma indeterminata 0/0. Verificate valide le condizioni delle ipotesi del teorema applicando la regola De l'Hopital si ha:

  • Esempio 3:Determinare il limite:


    Il limite si presenta nella forma indeterminata 0/0. Verificate valide le condizioni delle ipotesi del teorema applicando la regola De l'Hopital si ha:

  • Esempio 4:Determinare il limite:

    Il limite si presenta nella forma indeterminata ∞/∞. Verificate valide le condizioni delle ipotesi del teorema applicando la regola De l'Hopita l si ha:

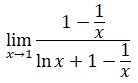
  • Esempio 5:Determinare il limite:

    Il limite si presenta nella forma indeterminata ∞/∞. Verificate valide le condizioni delle ipotesi del teorema applicando la regola De l'Hopital si ha:

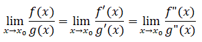
In alcuni casi può capitare che applicando la regola di De l'Hopital il limite delle derivate si presenti ancora nella forma 0/0 oppure ∞/∞. Se le ipotesi lo consentono, si può applicare nuovamente la regola:

La regola De l'Hopital si può applicare anche per il calcolo di limiti indeterminati della forma:

∞ - ∞    0 ⋅ ∞    00    1    ∞0

che possono essere riconducibili, tramite opportune operazioni algebriche, alle forme indeterminate 0/0 e ∞/∞. Vediamo alcuni esempi:

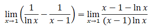
  • Esempio 6:Determinare il limite:

    Il limite si presenta nella forma indeterminata ∞ - ∞. In questo caso bisogna porre la differenza f(x) - g(x) sotto forma di quoziente 0/0 in questo modo:

    e successivamente applicare la regola De l'Hopital.

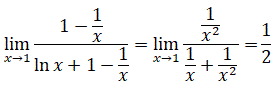
    Ora, il limite si presenta nella forma 0/0. Applicando la regola De l'Hopital si ottiene:

    Anche questo limite è della forma 0/0. Possiamo applicare nuovamente la regola De l'Hopital.

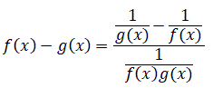
  • Esempio 7:Determinare il limite:

    Il limite si presenta nella forma indeterminata 0 ⋅ ∞. In questo caso la funzione f(x)=x tende a zero, mentre la funzione g(x)=lnx tende a meno infinito per x che tende a 0+. Ora, trasformando il prodotto in un rapporto ponendo:

    si ottiene, nel primo caso, un rapporto che tende a ∞/∞ e nel secondo caso un rapporto che tende a 0/0 per x che tende a 0+. Ora, se valgono le ipotesi del teorema possiamo applicare la regola De l'Hopital.

  • Esempio 8:Determinare il limite:

    Il limite si presenta nella forma indeterminata 00. In questo caso la funzione è del tipo

    [f(x)]g(x)

    E applicando la definizione di logaritmo possiamo, trasformarla in una funzione composta esponenziale in un'altra funzione equivalente avente per base il numero e.

    Ora, il calcolo del limite dell'esponente si presenta sotto la forma 0 ⋅ ∞ e dalla conoscenza di questo limite possiamo poi determinare il limite della funzione iniziale:

  • Esempio 9:Determinare il limite:

    Il limite si presenta nella forma indeterminata 1. Possiamo applicare lo stesso procedimento del caso precedente e scrivere:



© copyright giuseppe.com