Teorema di Rolle

Teorema di Rolle:

Sia f(x) una funzione continua nell'intervallo chiuso [a, b] e derivabile in un intervallo aperto (a, b) con f(a)=f(b) allora esiste almeno un punto x0 ∈ (a, b) nel quale risulta f'(x0)=0.

Ossia:


Geometricamente questo teorema afferma che se consideriamo il grafico di una funzione continua e derivabile in un dato intervallo in cui gli estremi hanno la stessa ordinata, allora esiste almeno un punto del grafico in cui la tangente è parallela all'asse x.


Dimostrazione:

Essendo f(x) continua nell'intervallo chiuso [a, b], avrà un massimo M e un minimo m con m≤M. Si possono presentare due casi:

  • m = M.

    Se il minimo m e il massimo M coincidono allora la funzione f(x) risulta costante in tutto l'intervallo [a, b] e quindi f(x)=k. Essendo la derivata di una funzione continua nulla in ogni punto dell'intervallo si ha: f'(x0)=0.

  • m = M.

    In questo caso la funzione f(x) non è costante in [a, b] e quindi ci saranno due punti x0, x1 nell'intervallo tali che f(x0) = M e f(x1)=m e dato per ipotesi che f(a)=f(b) sicuramente uno dei due punti x0, x1 è interno all'intervallo. Supponendo che sia x0 interno all'intervallo consideriamo un incremento h positivo scelto in modo che i punti x0-h e x0+h cadano in [a, b]. Dato che la funzione assume il suo massimo in x0 possiamo scrivere:

    f(x0 + h) - f(x0) ≤ 0;       f(x0 - h) - f(x0) ≤ 0

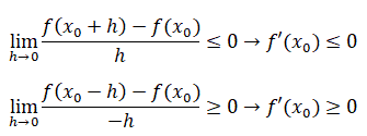
    Dividendo la prima uguaglianza per h e la seconda per -h si ottengono rispettivamente il rapporto incrementale destro e il rapporto incrementale sinistro relativo al punto x0:

    e passando ai limiti per h che tende a zero si ha:

    Nel primo caso la derivata destra della funzione in x0 è minore o uguale a zero, nel secondo caso la derivata sinistra è maggiore o uguale a zero. Ma essendo per ipotesi la funzione f(x) derivabile in ogni punto interno all'intervallo allora la derivata f'(x0) esiste ed è finita ed è quindi uguale a zero. Con analoghi ragionamenti si arriva allo stesso risultato se si suppone che sia il punto x1 interno all'intervallo [a, b].

Attenzione! Se la funzione non è continua nell'intervallo [a, b] oppure non è derivabile anche in un solo punto interno all'intervallo (a, b), non è detto in generale che esiste almeno un punto del grafico in cui la tangente sia parallela all'asse x.

  • Esempio 1: Stabilire se per la funzione f(x)=|x| definita in [-2, 2] vale il teorema di Rolle.

    La funzione f(x)=|x| è continua nell'intervallo [-2, 2] e f(-2)=f(2), ma non è derivabile nel punto x=0 interno all'intervallo e quindi non può essere applicato il teorema di Rolle e non può essere garantita l'esistenza di un punto in cui la derivata si annulla. Infatti, come si vede dal grafico della funzione non esiste la retta tangente alla curva parallela all'asse x.

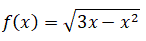
  • Esempio 2: Stabilire se per la funzione

    definita in [0, 3] vale il teorema di Rolle.

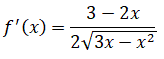
    La funzione f(x) è continua nell'intervallo [0, 3] e f(0)=f(3)=0, ed è derivabile in (0, 3):

    Pertanto si può applicare il teorema di Rolle alla funzione e sicuramente esiste un punto x0 in cui f'(x0)=0. Infatti, come si vede dal grafico della funzione esiste la retta tangente alla curva parallela all'asse x.



© copyright giuseppe.com