Teorema di Lagrange (o del valore medio)

Teorema di Lagrange (o del valore medio):

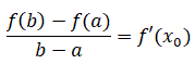
Se una funzione y=f(x) è continua nell'intervallo [a, b], e derivabile in (a, b), allora esiste almeno un punto x0∈(a, b) tale che:


Ossia:


Dal punto di vista geometrico questo teorema afferma che se consideriamo il grafico di una funzione continua in [a, b] e derivabile in (a, b) esiste almeno un punto x0∈(a, b) tale che la tangente al grafico nel punto P(x0, f(x0)) sia parallela alla secante passante per i punti A(a, f(a)), B(b, f(b)). Ad esempio, la funzione y=x-0,5x3 continua nell'intervallo chiuso [-2, 1] e derivabile in (-2, 1) ha almeno una retta parallela alla secante y=0,5x+1 passante per gli estremi dell'intervallo chiuso.

Il teorema di Lagrange è una generalizzazione del teorema di Rolle. Infatti, se f(a)=f(b) si ha f'(x0)=0.

Dimostrazione:

Per la dimostrazione si utilizza una funzione ausiliare g(x) che sia continua nell'intervallo [a, b], derivabile in (a, b), e che abbia lo stesso valore agli estremi a e b dell'intervallo:

g(x)=f(x)(b - a) - x ⋅ [f(b) - f(a)]

Ad esempio:

Possiamo allora applicare il teorema di Rolle affermando che esiste almeno un punto x0 per cui risulta g'(x0)=0. Ossia

g'(x0)=f'(x)(b - a) - 1 ⋅ [f(b) - f(a)] = 0

Cioè

  • Esempio 1: Verificare che la funzione:

    nell'intervallo [-2, 3] soddisfi il teorema di Lagrange nell'intervallo indicato ed eventualmente calcolare l'ascissa del punto che verifica il teorema.

    La funzione essendo un polinomio è senz'altro continua in ogni possibile intervallo di R e quindi è continua anche in [-2, 3]. Inoltre, la funzione non ha nè punti di discontinuità nè punti angolosi nè cuspide per cui è deivabile in (-2, 3) e il teorema di Lagrange è applicabile. Dalla relazione:

    si ha:

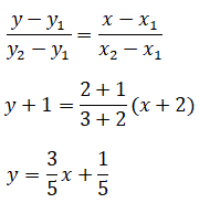
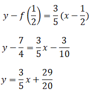
    Pertanto la tangente t alla curva parallela alla secante passante per gli estremi dell'intervallo ha ascissa x0=1/2. Il coefficiente angolare della retta tangente t è quindi:

    e l'equazione della retta tangente t è:

    mentre l'equazione della secante passante per i punti A(-2, -1), B(3,2) è:

    Possiamo verificare i risultati con la rappresentazione grafica:

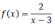
  • Esempio 2: Verificare che la funzione:

    nell'intervallo [0, 3] soddisfi il teorema di Lagrange nell'intervallo indicato ed eventualmente calcolare l'ascissa del punto che verifica il teorema.

    La funzione non è continua in x=3, quindi il teorema di Lagrange non è applicabile.

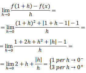
  • Esempio 3: Verificare che la funzione:

    f(x) = x2 + |x - 1|

    nell'intervallo [0, 2] soddisfi il teorema di Lagrange nell'intervallo indicato ed eventualmente calcolare l'ascissa del punto che verifica il teorema.

    La funzione è continua in [0, 2], ma non è derivabile in x=1

    quindi il teorema di Lagrange non è applicabile.



© copyright giuseppe.com