Continuità e derivabilità

Teorema della continuità delle funzioni derivabili:

Se una funzione y=f(x) è derivabile nel punto x0 allora la funzione è continua in questo punto.

Cioè vale la condizione di continuità di una funzione:

Questo teorema ha un semplice significato geometrico; essendo y=f(x) derivabile in x0 allora esiste una retta t con pendenza f'(x0) tangente alla curva della funzione nel suo punto P(x0, f(x0)) e pertanto in P la curva non presenta un'interruzione. Possiamo anche dire che la funzione y=f(x) essendo derivabile in x0 non ha discontinuità nel punto di ascissa x0.

Dimostrazione:

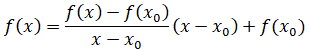
Pe x≠x0 vale la relazione:

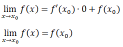
Applicando il limite per x che tende a x0 ad entrambi i membri si ha:

Ossia:

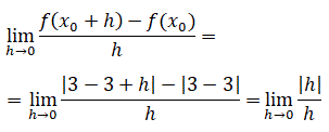
E' interessante notare che non vale il teorema inverso per cui una funzione può essere continua in un punto x0, senza essere derivabile in x0. Ad esempio, la funzione f(x)=|x-3| è continua in tutto R e quindi è definita e continua anche nel punto x0=3, ma in questo punto non è derivabile. Infatti:

e considerando la derivata sinistra e la derivata destra si ottiene:

Essendo la derivata sinstra diversa dalla derivata destra la funzione f(x)=|x-3| pur essendo continua in x0=3 non è derivabile in quel punto.



© copyright giuseppe.com