Indice
Calcolo dell'area sottesa da una curva
Proprietà degli integrali definiti
Teorema della media integrale
Il teorema fondamentale del calcolo integrale
Calcolo dell'area racchiusa da una curva
Calcolo dell'area racchiusa fra due o più curve
Calcolo del volume di un solido di rotazione
Solidi generati dalla rotazione attorno all'asse y
Calcolo di volumi con il metodo delle sezioni
Solidi generati dalla rotazione attorno all'asse y
Un metodo generale per determinare il volume di un solido detto metodo delle sezioni consiste nel considerare il solido come una somma infinita di superfici sezioni di spessore infinitesimo.
![]()
In pratica, nell'intervallo [a, b] un fascio di piani perpendicolari all'asse x taglia a fette il solido dove ogni fetta rappresenta una sezione di spessore infinitesimo del solido. Se le sezioni del solido hanno un'area espressa dalla funzione S(x), con x∈[a, b] allora ogni fetta è equivalente ad un cilindro che ha per base la sezione di area S(xi) e come altezza Δx e il volume del solido è dato dal il limite della somma dei volumi dei cilindri infinitesimi e cioè dall'integrale della funzione S(x) nell'intervallo [a, b]:
![]()
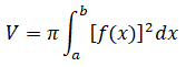
Nel caso dei solidi di rotazione le sezioni sono cerchi di raggio f(x) e area Πf2(x) al variare di x tra a e b e quindi il limite della somma degli infiniti cilindri è dato dall'integrale:
![]()
Vediamo alcuni esempi:
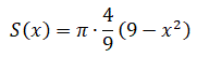
Esempio 1: Calcolare il volume del solido che ha per base il trapezoide limitato dalla funzione
![]()
dall'asse x e dalle rette x=0, x=4 le cue sezioni ottenute con piani ortogonali all'asse x sono quadrati.
![]()
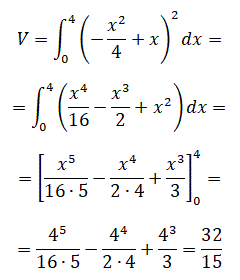
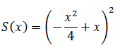
Il volume del solido è dato dall'integrale in cui le sezioni sono quadrati di area:
![]()
nell'intervallo [0, 4] per cui il volume del solido è:
![]()
Esempio 2: La regione di piano delimitata dal grafico
![]()
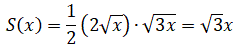
dall'asse x e dalle rette x=0, x=1 è la base di un solido le cue sezioni ottenute con piani ortogonali all'asse x sono tutti triangoli equilateri. Calcolare il volume del solido.
![]()
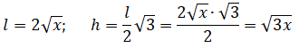
Il volume del solido è dato dall'integrale in cui le sezioni sono triangoli equilateri che hanno per lato e per altezza rispettivamente:
![]()
Per cui le sezioni triangolari hanno per area:
![]()
e il volume del solido è:
![]()
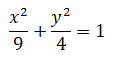
Esempio 3: Calcolare il volume dell'ellissoide generato dalla rotazione dell'ellisse di equazione:
![]()
a) attorno all'asse x;
b) attorno all'asse y.
![]()
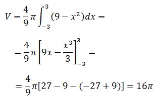
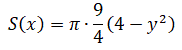
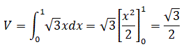
a) Il volume dell'ellissoide è dato dall'integrale in cui le sezioni sono cerchi nell'intervallo [-3, 3] che hanno per raggio:
![]()
e area:
![]()
![]()
e il volume dell'ellisoide è dato da:
![]()
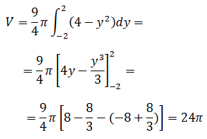
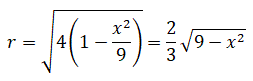
b)Il volume dell'ellissoide è dato dall'integrale in cui le sezioni sono cerchi nell'intervallo [-2, 2] che hanno per raggio:
![]()
e area:
![]()
![]()
e il volume dell'ellisoide è dato da:
![]()