Indice
Calcolo dell'area sottesa da una curva
Proprietà degli integrali definiti
Teorema della media integrale
Il teorema fondamentale del calcolo integrale
Calcolo dell'area racchiusa da una curva
Calcolo dell'area racchiusa fra due o più curve
Calcolo del volume di un solido di rotazione
Solidi generati dalla rotazione attorno all'asse y
Calcolo di volumi con il metodo delle sezioni
Il teorema fondamentale del calcolo integrale
Teorema fondamentale del calcolo integrale:
L'integrale definito di una funzione continua f(x), calcolato sull'intervallo [a, b] è uguale alla differenza fra i valori che una qualunque primitiva F(x) di f(x) assume in b e in a. In simboli:
![]()
In pratica, per calcolare un integrale definito fra a e b di f(x), si calcola prima l'integrale indefinito di f(x) e si scrive la funzione ottenuta tra due parentesi quadre indicando gli esteremi di integrazione. Poi si sostituisce alla x il valore che compare nell'estremo superiore del segno di integrale (cioè b) e quello che compare all'estremo inferiore (cioè a). In questo modo si ottengono due valori che sono F(b) e F(a) e il risultato dell'integrale definito è uguale alla differenza tra questi due valori. Vediamo alcuni esempi:
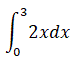
Esempio 1: Calcoliamo l'integrale definito
![]()
Applicando il teorema fondamentale del calcolo integrale si ha:
![]()
Essendo f(x)=2x sempre positiva nell'intervallo [0, 3] dal punto di vista geometrico il valore che abbiamo determinato dal calcolo dell'integrale definito rappresenta la misura dell'area della regione di piano delimitata dalla retta di equazione y=2x, dall'asse x e dalle rette x=0 e x=3.
![]()
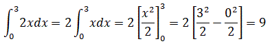
Esempio 2: Calcoliamo l'integrale definito
![]()
Applicando il teorema fondamentale del calcolo integrale si ha:
![]()
Essendo f(x)=x2/4 sempre positiva nell'intervallo [0, 4] dal punto di vista geometrico il valore che abbiamo determinato dal calcolo dell'integrale definito rappresenta la misura dell'area della regione di piano delimitata dalla parabola di equazione y=x2/4, dall'asse x e dalle rette x=0 e x=4.
![]()
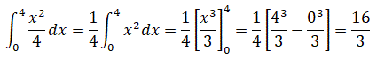
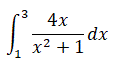
Esempio 3: Calcoliamo l'integrale definito
![]()
Applicando il teorema fondamentale del calcolo integrale si ha:
![]()
Essendo f(x)=4x/(x2+1) sempre positiva nell'intervallo [1, 3] dal punto di vista geometrico il valore che abbiamo determinato dal calcolo dell'integrale definito rappresenta la misura dell'area della regione di piano delimitata dalla curva di equazione y=4x/(x2+1), dall'asse x e dalle rette x=1 e x=3.
![]()
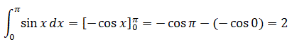
Esempio 4: Calcoliamo l'integrale definito
![]()
Applicando il teorema fondamentale del calcolo integrale si ha:
![]()
Essendo f(x)=sin x sempre positiva nell'intervallo [0, Π] dal punto di vista geometrico il valore che abbiamo determinato dal calcolo dell'integrale definito rappresenta la misura dell'area della regione di piano delimitata dalla curva di equazione y=sin x, dall'asse x e dalle rette x=0 e x=Π.
![]()
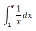
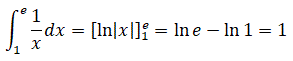
Esempio 5: Calcoliamo l'integrale definito
![]()
Applicando il teorema fondamentale del calcolo integrale si ha:
![]()
Essendo f(x)=1/x sempre positiva nell'intervallo [0, e;] dal punto di vista geometrico il valore che abbiamo determinato dal calcolo dell'integrale definito rappresenta la misura dell'area della regione di piano delimitata dalla curva di equazione y=1/x, dall'asse x e dalle rette x=0 e x=e.
![]()