Indice
Calcolo dell'area sottesa da una curva
Proprietà degli integrali definiti
Teorema della media integrale
Il teorema fondamentale del calcolo integrale
Calcolo dell'area racchiusa da una curva
Calcolo dell'area racchiusa fra due o più curve
Calcolo del volume di un solido di rotazione
Solidi generati dalla rotazione attorno all'asse y
Calcolo di volumi con il metodo delle sezioni
Calcolo dell'area racchiusa da una curva
Il calcolo dell'integrale definito è stato sviluppato, a partire dal XVI secolo, per poter determinare la misura della superficie di una regione del piano racchiusa da un contorno curvilineo. Vediamo allora come possiamo applicare gli integrali definiti per questo scopo. Esaminiamo tre casi:
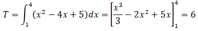
Calcoliamo l'area della superficie T racchiusa dalla funzione f(x)=x2-4x+5, dall'asse x, e dalla rette x=1 e x=4.
![]()
Essendo f(x) sempre positiva nell'intervallo [1, 4] possiamo determinare l'area del trapezoide con l'integrale definito:
![]()
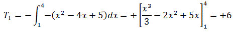
Calcoliamo l'area della superficie T1 racchiusa dalla funzione f(x)=-(x2-4x+5), dall'asse x, e dalla rette x=1 e x=4.
![]()
Osservando la figura possiamo facilmente notare che la funzione è sempre negativa nell'intervallo [1, 4] ma le due superficie T e T1 sono equivalenti perchè sono simmetriche rispetto all'asse x. Pertanto, anche la misura di T1 deve essere 6. Se calcoliamo l'integrale definito di f(x)=-(x2-4x+5) negli estremi 1 e 4:
![]()
otteniamo un numero negativo, ma tuttavia il suo valore assoluto dà la misura di T1. Si intiusce che se vogliamo determinare la misura di T1 dobbiamo mettere il segno meno davanti all'integrale.
![]()
In generale:
Se la funzione è sempre negativa nell'intervallo [a, b], allora l'integrale definito è negativo e l'area del trapezoide è data da:
![]()
In altre parole, l'integrale definito calcola come positive le aree sopra l'asse delle x e come negative le aree situate sotto l'asse x.
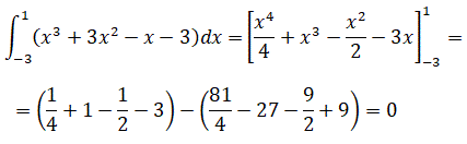
Calcoliamo l'area della superficie T2 racchiusa dalla funzione
f(x) = x3 + 3x2 - x -3
dall'asse x, e dalla rette x=-3 e x=1.
![]()
Dal grafico della funzione possiamo vedere che la funzione è positiva nell'intervallo [-3, -1], mentre è negativa nell'intervallo [-1, 1]. Inoltre la superficie del trapezoide sopra l'asse x è equivalente a quella del trapezoide situata sotto l'asse x. Ora se calcoliano l'integrale definito della funzione nell'intervallo [-3, 1] otteniamo come valore zero:
![]()
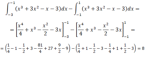
Se vogliamo determinare l'area della superficie complessiva dobbiamo calcolare l'integrale come somma di due integrali il primo avente per estremi -3 e -1 il secondo avente per estremi -1 e 1. Inoltre, il secondo integrale deve essere preceduto dal segno meno essendo la funzione negativa nell'intervallo [-1, 1].
![]()