Indice
Calcolo dell'area sottesa da una curva
Proprietà degli integrali definiti
Teorema della media integrale
Il teorema fondamentale del calcolo integrale
Calcolo dell'area racchiusa da una curva
Calcolo dell'area racchiusa fra due o più curve
Calcolo del volume di un solido di rotazione
Solidi generati dalla rotazione attorno all'asse y
Calcolo di volumi con il metodo delle sezioni
Solidi generati dalla rotazione attorno all'asse y
Per determinare il volume di un solido ottenuto dalla rotazione attorno all'asse y e non si vuole (o non è possibile) invertire la funzione y=f(x) si utilizza il metodo dei "gusci cilindrici" cioè cilindri cavi di raggio interno x e raggio esterno x+Δx e altezza f(x). La base del trapezoide viene suddivisa in n rettangoli di base dx e altezza f(x), con la rotazione attorno all'asse y il solido è approssimato dalla somma di n gusci cilindrici di spessore dx, raggio interno x e altezza f(x).
![]()
Il volume infinitesimo di ogni guscio sarà uguale a:
![]()
(il termine Πd2xf(x) è trascurabile rispetto a dx). Il limite della somma degli infiniti gusci cilindrici di volume dV, cioè il volume del solido di rotazione può essere quindi espresso mediante l'integrale definito:
![]()
Se la regione di piano la cui area è limitata superiormente dalla curva y=f(x) ed inferiormente dalla curva y=g(x), sull'intervallo [a, b], allora il volume del solido ottenuto dalla rotazione attorno all'asse y è dato dall'integrale:
![]()
Vediamo alcuni esempi:
Esempio 1: Calcolare il volume del solido ottenuto dalla rotazione attorno all'asse y dell'arco di parabola y=x2 compreso nell'intervallo 0≤x≤1.
![]()
Applicando la formula si ottiene:
![]()
Un altro modo di risolvere questo problema consiste nel considerare che la regione di piano sia limitata superiormente dalla curva f(x)=1, ed inferiormente dalla curva g(x)=x2, sull'intervallo [0, 1], in tal caso il volume del solido ottenuto dalla rotazione attorno all'asse y è dato:
![]()
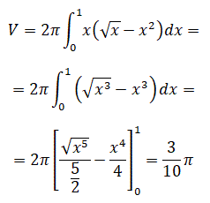
Esempio 2: Calcolare il volume del solido ottenuto dalla rotazione attorno all'asse y della regione di piano limitato superiormente dalla funzione g(x)=√x e inferiormente dalla funzione f(x)=x2 sull'intervallo [0, 1].
![]()
Applicando la formula si ottiene:
![]()
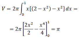
Esempio 3: Calcolare il volume del solido ottenuto dalla rotazione attorno all'asse y della regione di piano limitata superiormente da f(x)=2-x2 e inferiormente da g(x)=x2 sull'intervallo [0, 1].
![]()
Applicando la formula si ottiene:
![]()
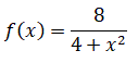
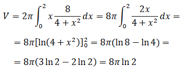
Esempio 4: Calcolare il volume del solido ottenuto dalla rotazione attorno all'asse y della regione di piano limitata dal grafico della funzione
![]()
dall'asse delle ascisse e dalle rette di equazione x=0 e x=2.
![]()
Applicando la formula si ottiene:
![]()
Esempio 5: Calcolare il volume del solido ottenuto dalla rotazione attorno all'asse y della regione di piano limitata dal grafico di f(x)=-x2+6x-5, dall'asse delle ascisse e dalle rette di equazione x=1 e x=3.
![]()
Applicando la formula si ottiene:
![]()