Indice
Calcolo dell'area sottesa da una curva
Proprietà degli integrali definiti
Teorema della media integrale
Il teorema fondamentale del calcolo integrale
Calcolo dell'area racchiusa da una curva
Calcolo dell'area racchiusa fra due o più curve
Calcolo del volume di un solido di rotazione
Solidi generati dalla rotazione attorno all'asse y
Calcolo di volumi con il metodo delle sezioni
Calcolo dell'area sottesa da una curva
Il calcolo dell'area di una qualsiasi superficie piana limitata da segmenti è semplice perchè è sempre possibile scomporla in un numero finito di triangoli e sommare le loro aree. Non è così facile il calcolo dell'area di una superficie piana che abbia un contorno curvilineo, per esempio un cerchio non è suddivisibile in triangoli e non è equiscomponibile con alcun poligono. Non possiamo dunque applicare alle superficie piane dal contorno mistilineo la stessa procedura di calcolo dell'area adottata per i poligoni. Il problema del calcolo dell'area di un cerchio è molto antico ed è stato risolto con il metodo di esaustione utilizzato da Eudosso (intorno al 360 a.C.) e poi da Archimede (287-212 a.C.). Questo metodo si basa su un'idea molto semplice: approssimare la superficie del cerchio con un'altra, di cui sia facile calcolare l'area. Un cerchio può essere approssimato dai poligoni regolari inscritti e che tali approssimazioni sono tanto migliori quanto più grande è il numero dei lati. I poligoni inscritti, all'aumentare del numero dei lati, tendono a esaurire il cerchio, tendono ad avere la stessa estensione del cerchio. Questo nuovo modo di definire l'area di un cerchio può essere facilmente generalizzato a qualsiasi superficie piana dal contorno curvilineo.
Ad esempio vogliamo calcolare l'area della regione di piano detta trapezoide delimitata dall'asse x, dalle rette di equazione x=a e x=b e dalla curva di equazione y=f(x) dove f(x) è una funzione positiva definita e continua nell'intervallo chiuso e limitato [a, b].
![]()
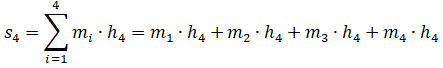
Utilizzando il metodo di esaustione possiamo approssimare l'area del trapezoide con dei rettangoli inscritti e dei rettangoli circoscritti. Dividiamo l'intervallo [a, b] in quattro intervalli parziali uguali e indichiamo con mi e Mi il minimo e il massimo valore di f(x) nell'i-esimo intervallo. Costruiamo i quattro rettangoli inscritti nel trapezoide aventi per base l'ampiezza di un intervallo parziale e per altezza mi.
![]()
Ogni rettangolo avrà, quindi, per base
![]()
e per altezza il minimo mi di f(x) sull'i-esimo intervallo. L'area totale dei quattro rettangoli inscritti nel trapezoide è data da:
![]()
Consideriamo ora, i quattro rettangoli circoscritti al trapezoide aventi per base l'ampiezza di un intervallo parziale e per altezza Mi.
![]()
Ogni rettangolo avrà per base
![]()
e per altezza il massimo Mi di f(x) sull'i-esimo intervallo. L'area totale dei quattro rettangoli circoscritti nel trapezoide è data da:
![]()
Naturalmente l'area T del trapezoide risulta:
s4 < T < S4
E s4 rappresenta un'approssimazione per difetto della misura dell'area T, mentre S4 rappresenta un'approssimazione per eccesso. Aumentando il numero n degli intervalli parziali aumentano anche il numero dei rettangoli inscritti e circoscritti al trapezoide ne segue che:
il valore di sn tende a crescere ma non diventa mai maggiore del valore di T;
il valore di Sn tende a decrescere ma non diventa mai minore del valore di T;
la differenza tra Sn e sn tende a ridursi sempre di più.
Se la funzione f(x) è continua e positiva nell'intervallo chiuso e limitato [a, b] allora le misure delle aree sn e Sn per n che tende all'infinito sono convergenti e convergono verso lo stesso numero che rappresenta la misura dell'area T del trapezoide.
![]()
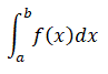
Il valore T comune dei due limiti è detto integrale definito della funzione f(x) nell'intervallo [a, b] e si indica con il simbolo:
![]()
Il termine f(x)dx indica che si sommano le aree di infiniti rettangoli che hanno altezza f(x) e base dx, il simbolo dell'integrale che assomiglia alla lettera S indica che stiamo considerando una somma di aree, mentre i numeri a e b detti estremi di integrazione (a estremo inferiore, b estremo superiore) indicano in quale intervallo della funzione si calcola l'area sottesa dal grafico di f(x).
Nel caso più semplice in cui la funzione f(x) è una costante positiva cioè f(x)=k con k>0 l'integrale definito
![]()
rappresenta l'area del rettangolo con base (b-a) e con altezza k.
![]()