Indice
Calcolo dell'area sottesa da una curva
Proprietà degli integrali definiti
Teorema della media integrale
Il teorema fondamentale del calcolo integrale
Calcolo dell'area racchiusa da una curva
Calcolo dell'area racchiusa fra due o più curve
Calcolo del volume di un solido di rotazione
Solidi generati dalla rotazione attorno all'asse y
Calcolo di volumi con il metodo delle sezioni
Proprietà degli integrali definiti
Dalla definizione di integrale definito per una funzione continua si possono dedurre alcune importanti proprietà:
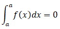
Se gli estremi di integrazione coincidono, l'integrale è nullo:
![]()
Infatti, se a=b allora il trapezoide ha la base nulla e quindi anche la sua area vale zero.
![]()
Se c è un punto interno all'intervallo [a, b] vale l'uguaglianza:
![]()
Infatti, se il trapezoide viene diviso in due parti l'area totale del trapezoide è uguale alla somma delle due aree.
![]()
Invertendo gli estremi di integrazione varia il segno dell'integrale:
![]()
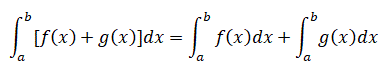
L'integrale definito della somma di due funzioni è la somma dei loro integrali definiti:
![]()
L'integrale definito del prodotto di una funzione per una costante è uguale al prodotto della costante per l'integrale definito della funzione:
![]()
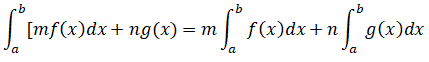
L'integrale definito dalla combinazione lineare di due funzioni è la combinazione lineare dei loro integrali definiti:
![]()
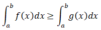
Se f(x) e g(x) sono due funzioni continue nell'intervallo [a, b] e f(x) ≥ g(x) per ogni x ∈ [a, b], allora:
![]()