Indice
Calcolo dell'area sottesa da una curva
Proprietà degli integrali definiti
Teorema della media integrale
Il teorema fondamentale del calcolo integrale
Calcolo dell'area racchiusa da una curva
Calcolo dell'area racchiusa fra due o più curve
Calcolo del volume di un solido di rotazione
Solidi generati dalla rotazione attorno all'asse y
Calcolo di volumi con il metodo delle sezioni
Teorema della media integrale
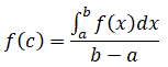
Teorema della media integrale:
Se f(x) è una funzione continua in [a, b] allora esiste almeno un punto c in [a, b] tale che:
![]()
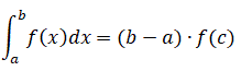
Ossia:
![]()
Dal punto di vista geometrico questo teorema esprime l'equivalenza tra la superficie del trapezoide e la superficie del rettangolo avente la stessa base del tapezoide (b-a) e altezza f(c) dove c è un punto nell'intervallo [a, b].
![]()