Indice
Calcolo dell'area sottesa da una curva
Proprietà degli integrali definiti
Teorema della media integrale
Il teorema fondamentale del calcolo integrale
Calcolo dell'area racchiusa da una curva
Calcolo dell'area racchiusa fra due o più curve
Calcolo del volume di un solido di rotazione
Solidi generati dalla rotazione attorno all'asse y
Calcolo di volumi con il metodo delle sezioni
Calcolo dell'area racchiusa fra due o più curve
Vogliamo ora vedere come si può determinare l'area di una superficie racchiua tra due curve qualunque f(x) e g(x) esaminando vari casi.
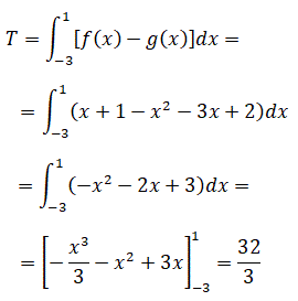
Calcoliamo l'area della superficie T racchiusa dalle due funzioni f(x)=x+1 e g(x)=x2-2x+1.
![]()
Dal grafico possiamo notare che le due curve una retta e una parabola si intersecano nei punti A(0,1) e B(3, 4) e quindi la superficie da misurare è compresa tra:
0 ≤ x ≤ 3;   e   x2-2x+1 ≤ y ≤ x+1
Inoltre, possiamo osservare che f(x)≥g(x), entrambe le funzioni sono sempre positive nell'intervallo [0, 3] e la superficie T si può ottenere per differenza tra i due trapezoidi:
T1 = superficie sottesa da f(x)=x+1, dall'asse x e dalle rette x=0 e x=3.
T2 = superficie sottesa da g(x)=x2-2x+1, dall'asse x e dalle rette x=0 e x=3.
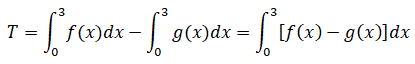
Pertanto risulta: T = T1 - T2
Che possiamo tradurre in:
![]()
Cioè
![]()
E svolgendo si ottiene:
![]()
Calcoliamo l'area della superficie T racchiusa dalle due funzioni f(x)=x+1 e g(x)=x2+3x-2.
![]()
Dal grafico possiamo notare che le due curve una retta e una parabola si intersecano nei punti A(-3,-2) e B(1, 2) e quindi la superficie da misurare è compresa tra:
-3 ≤ x ≤ 1;   e   x2+3x-2 ≤ y ≤ x+1
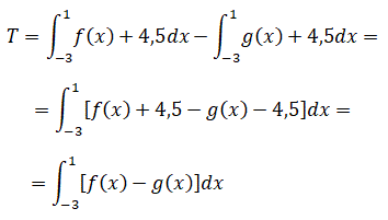
Inoltre, possiamo osservare che f(x)≥g(x), ma ora le due funzioni non sono sempre positive nell'intervallo [-3, 1]. Se applichiamo alle due curve una traslazione di vettore (0, 4,5) cioè una traslazione con componente verticale y=4,5
![]()
le due funzioni:
f(x) + 4,5;   g(x) + 4,5
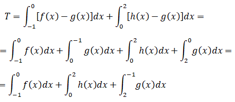
risulteranno entrambe positive nell'intervallo [-3, 1] inoltre, la superficie T3 compresa tra queste due funzioni è equivalente alla superficie T perchè le traslazioni conservano le misure delle aree. Pertanto l'area di T si può ottenere per differenza tra i due trapezoidi:
T1 = superficie sottesa da f(x)=x+1+4,5, dall'asse x e dalle rette x=0 e x=4.
T2 = superficie sottesa da g(x)=x2-2x+1+4,5, dall'asse x e dalle rette x=0 e x=4.
E cioè T = T1 - T2
Che si traduce in:
![]()
Possiamo quindi calcolare l'area T mediante l'integrale definito della differenza tra le due funzioni f(x) e g(x) con gli estremi le ascisse dei due punti in cui le due curve si intersecano. Svolgendo l'integrale si ottiene:
![]()
In generale:
La misura dell'area di una superficie delimitata da due funzioni f(x) e g(x) con f(x)≥g(x) è data dall'integrale definito della differenza tra i valori assunti dalle due funzioni nell'intervallo [a, b] dove a e b sono le ascisse dei punti di intersezione delle curve:
![]()
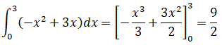
Calcoliamo l'area della superficie T racchiusa dalle tre funzioni
f(x) = 2x + 5   g(x) = x2 - x + 1   h(x) = x2 - 3x + 5
![]()
Dal grafico possiamo notare che le tre curve una retta e due parabole si intersecano nei punti A(-1,3), B(0, 5), C(2, 3) e quindi la superficie da misurare è compresa tra:
-1 ≤ x ≤ 0;   e   x2-x+1 ≤ y ≤ 2x+5
0 ≤ x ≤ 2;   e   x2-x+1 ≤ y ≤ x2-3x+5
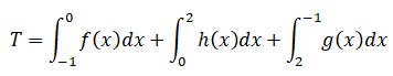
-1, 0, 2 sono le ascisse dei punti di intersezione delle curve rispettivamente tra f(x) e g(x), tra f(x) e h(x), tra h(x) e g(x). Tenendo conto della conclusione generale del punto precedente si ha:
![]()
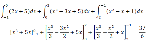
Applicando le proprietà degli integrali definiti possiamo semplificare la somma degli integrali:
![]()
La relazione:
![]()
ci permette di enunciare una regola pratica per determinare l'area di una regione di piano sottesa da più di due curve:
Partento da uno qualunque dei punti di intersezione delle funzioni si percorre il bordo della regione in senso orario e si esegue la somma degli integrali definiti delle funzioni tra le ascisse dei punti che sono estremi delle curve stesse.
![]()
Svolgendo gli integrali si ottiene:
![]()