Indice
Calcolo dell'area sottesa da una curva
Proprietà degli integrali definiti
Teorema della media integrale
Il teorema fondamentale del calcolo integrale
Calcolo dell'area racchiusa da una curva
Calcolo dell'area racchiusa fra due o più curve
Calcolo del volume di un solido di rotazione
Solidi generati dalla rotazione attorno all'asse y
Calcolo di volumi con il metodo delle sezioni
Calcolo del volume di un solido di rotazione
Gli integrale definiti permettono di poter determinare anche il volume di un solido ottenibile dalla rotazione completa rispetto all'asse x o all'asse y del trapezoide sotteso dal grafico di una funzione f(x) definita positiva in un intervallo [a, b]. Ad esempio, consideriamo il trapezoide delimitato dalla funzione f(x), dall'asse x e dalle rette x=a e x=b.
![]()
e facciamolo ruotare di un giro completo rispetto all'asse x:
![]()
otteniamo così un solido di rotazione. Per determinare il volume del solido utilizziamo ancora il metodo di esaustione approssimando l'area del trapezoide con dei rettangoli inscritti. Suddividiamo l'intervallo [a, b] in n parti uguali con l'inserimento dei punti:
x0 = a, x0 < x1 < x2 < x3, ..., < xn = b
e costruiamo i rettangoli di base (b-a)/n e altezza f(xn).
![]()
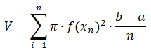
Nella rotazione attorna all'asse x i rettangoli inscritti nel trapezoide generano altrettanti cilindri di raggio f(xn) e altezza (b-a)/n. Ogni cilindro avrà un volume dato da:
Vn = Π ⋅ f(xn)2 ⋅ (b-a)/n
Il volume totale dei cilindri inscritti nel solido è data da:
![]()
Se la funzione f(x) è continua e positiva nell'intervallo [a, b] allora il volume del solido sarà il limite della somma dei volumi dei vari cilindri per n che tende all'infinito. Poichè tale limite è l'integrale definito della funzione f(x) nell'intervallo [a, b] si ottiene la formula generale per determinare il volume del solido di rotazione generato da f(x) in una rotazione completa attorno all'asse x:
![]()
Con lo steso procedimento si può dimostrare che se y=f(x) è una funzione positiva, continua e invertibile nell'intervallo [a, b] con funzione inversa x=g(y) la formula per calcolare il volume del solido ottenuto dalla rotazione attorno all'asse y della regione di piano delimitata dal grafico di f(x), dall'asse y e dalle rette f(a) e f(b) diventa:
![]()
Analogamente si può dimostrare che se il solido è ottenuto dalla rotazione attorno all'asse x di una regione di piano compresa tra il grafico di due funzioni f(x) e g(x) positive e continue in un intervallo [a, b] con f(x)≥g(x) allora il volume è dato da:
![]()
Vediamo alcuni esempi di calcolo del volume di solidi di rotazione.
Esempio 1: Calcolare il volume che si ottiene dalla rotazione attorno all'asse x della superficie delimitata dalle rette di equazioni x=0, x=4 e dalla curva di equazione:
![]()
Tracciamo il trapezoide:
![]()
E facciamolo ruotare di un giro completo intorno all'asse x.
![]()
applicando la formula del volume si ha:
![]()
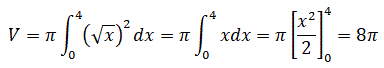
Esempio 2: Calcolare il volume del solido ottenuto mediante una rotazione completa attorno all'asse y della regione di piano delimitata dalla funzione y=√x e dall'asse y nell'intervallo 0≤x≤4.
Tracciamo il trapezoide:
![]()
E facciamolo ruotare di un giro completo intorno all'asse y.
![]()
Poichè la rotazione avviene attorno all'asse y l'integrazione deve essere effettuata rispetto alla variabile y e quindi dobbiamo operare con la funzione inversa x=f(y).
![]()
Poi determiniamo gli estremi dell'integrazione calcolando:
![]()
Infine, calcoliamo il volume del solido:
![]()
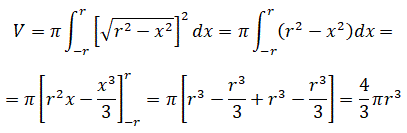
Esempio 3: Dimostrare che il volume di una sfera è:
![]()
Consideriamo la sfera come solido di rotazione generato dalla rotazione della semicirconferenza di equazione
![]()
attorno all'asse x.
![]()
Quindi, applicando la formula del volume si ha:
![]()
Esempio 4: Calcolare il volume che si ottiene dalla rotazione attorno all'asse y=1 della superficie delimitata dalle rette di equazioni x=-1, x=1, y=1 e dalla curva di equazione:
![]()
Dal grafico della figura
![]()
si intuisce che se operiamo con una traslazione verticale di vettore (0, -1) l'asse di rotazione diventa l'asse x. In questa nuova situazione la superficie sarà delimitata dall'asse x e dalle rette di equazioni x=-1, x=1 e dalla curva di equazione:
![]()
La traslazione non modifica la forma della curva, la forma della superficie del treapezoide, la misura della sua area e il volume del solido di rotazione. Però ci permette di poter determinare il volume del solido di rotazione applicando la formula generale di un solido ottenuto per rotazione attorno all'asse x.
![]()
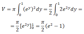
Esempio 5: Calcolare il volume del solido generato dalla rotazione attorno all'asse y della regione finita di piano limitata dal grafico della funzione f(x)=ln(x) dall'asse delle y e dalle rette di equazioni y=0, y=1.
Osserviamo il grafico della figura
![]()
Poichè la rotazione avviene attorno all'asse y l'integrazione deve essere effettuata rispetto alla variabile y e quindi dobbiamo operare con la funzione inversa x=f(y).
y = ln(x) → x = ey
La regione finita di piano è quindi limitata dalla curva di equazione x = ey, dall'asse y e dalle rette y=0, y=1. Pertanto il suo volume sarà:
![]()
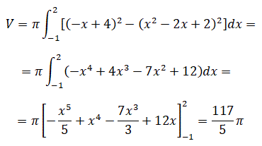
Esempio 6: Calcolare il volume del solido generato dalla rotazione attorno all'asse x della regione finita di piano compresa tra la curva y=x2-2x+2 e la retta y=-x+4.
![]()
Applicando la formula si ottiene:
![]()
Esempio 7: Calcolare il volume del solido generato dalla rotazione attorno alla retta x=4 della regione finita di piano compresa tra la curva y=√x e le rette x=0, x=4.
![]()
Ruotando di un giro completo il trapezoide si ottiene il solido di ratazione:
![]()
Poichè la rotazione avviene attorno ad un asse parallelo all'asse y l'integrazione deve essere effettuata rispetto alla variabile y e quindi dobbiamo operare con la funzione inversa x=f(y).
![]()
Inoltre, determiniamo gli estremi dell'integrazione calcolando:
![]()
Poi supponiamo di operare una traslazione orizontale di vettore (4, 0) in modo che l'asse di rotazione diventi l'asse y. In questa situazione la funzione diventa x=y2-4 e applicando la formula si ottiene:
![]()