Studio di fasci di parabole

Studiare l'equazione di un fascio di parabole vuol dire esaminare tutte le caratteristiche grafiche del fascio ossia determinare: le parabole generatrici, gli eventuali punti base, le parabole degenere, le coordinate dei vertici al variare del parametro, la concavità delle parabole, la eventuale congruenza delle parabole, l'eventuale asse di simmetria comune. Vediamo alcuni esempi:

  • Esempio 1: Studiamo il fascio di parabole di equazione:

    (k + 1)y - (k + 2)x2 + (k + 3)x = 0

    Eseguiamo le moltiplicazioni e determiniamo le parabole generatrici:

    ky + y - kx2 - 2x2 + kx + 3x = 0

    Cioè:

    y - 2x2 + 3x + k(y - x2 + x) = 0

    Le parabole generatrici hanno equazioni:

    Per k = 0 → y - 2x2 + 3x = 0

    Per k → ∞ → y - x2 + x = 0

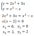
    Determiniamo gli eventuali punti base risolvendo il sistema costituito dalle due equazioni delle parabole generatrici:



    Le parabole generatrici si intersecano in due punti A(0, 0) e B(2, 2) e quindi il fascio ha due punti base e tutte le parabole si intersecano in questi due punti.

    Determiniamo le parabole degenere:

    Per k=-1 si ha:

    -x2 + 2x = 0

    che ha per soluzione x1 = 0 e x2 = 2 parabola degenere rappresentata da due rette verticali.

    Per k=-2 si ha: -y + x = 0

    parabola degenere rappresentata dalla bisettrice del primo e terzo quadrante.

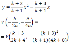
    Scriviamo l'equazione del fascio in forma esplicita e determiniamo le coordinate dei vertici al variare di k:



    Il vertice dipende da k e quindi le parabole del fascio hanno vertice variabile e asse di simmetria variabile.

    Studiamo la concavità che dipende dal segno del coefficiente a:


    Se k < -2 oppure k > -1 le parabole volgono la concavità verso l'alto.

    Se -2 < k < -1 le parabole volgono la concavità verso il basso.

    Se k = 2 la parabola è degenere y = -x.

    Tracciamo alcune parabole del fascio:


  • Esempio 2: Studiamo il fascio di parabole di equazione:

    (k + 1)y + (k - 2)x2 + 6x + k - 2 = 0

    Determiniamo le generatrici del fascio:

    ky + y + kx2 - 2x2 + 6x + k - 2 = 0

    y - 2x2 + 6x - 2 + k(y + x2 + 1) = 0

    Per k = 0 → y - 2x2 + 6x - 2 = 0

    Per k → ∞ → y + x2 + 1 = 0

    Determiniamo gli eventuali punti base:


    Le generatrici sono tangenti nel punto A(1, -2) e quindi il fascio ha un solo punto base.

    Determiniamo le parabole degenere:

    Per k=-1 si ha:

    (x - 1)2 = 0

    parabola degenere che corrisponde alla retta verticale x = 1. Per k=2 si ha la seconda parabola degenere rappresentata dalla retta y=-2x.

    Scriviamo l'equazione del fascio in forma esplicita e determiniamo le coordinate dei vertici al variare di k:



    Il vertice dipende da k e quindi le parabole del fascio hanno vertice variabile e asse di simmetria variabile.

    Studiamo la concavità che dipende dal segno del coefficiente a:


    Se -1< k < 2 le parabole volgono la concavità verso l'alto.

    Se k < -1 oppure k > 2 le parabole volgono la concavità verso il basso.

    Se k = 2 la parabola è degenere y = -2x.

    Tracciamo alcune parabole del fascio:


  • Esempio 3: Studiamo il fascio di parabole di equazione:

    (k + 1)x2 - 4(k + 1)x - (k + 1)y + 4 + 5k = 0

    Determiniamo le generatrici del fascio:

    kx2 + x2 - 4kx - 4x - ky - y + 4 + 5k = 0

    x2 - y - 4x + 4 + k(x2 - y - 4x + 5) = 0

    Per k = 0 → y = x2 - 4x + 4

    Per k → ∞ → y = x2 - 4x + 5

    Determiniamo gli eventuali punti base:

    Mettendo a sistema le due generatrici si ottiene l'equazione risolvente:

    2x2 - 8x + 9 = 0

    che non ammette radici reali. Il fascio non ha quindi punti base.
    Essendo a = a' ed entrambi positivi tutte le parabole del fascio hanno la stessa apertura, sono congruenti e la loro concavità è sempre rivolta verso l'alto. Inoltre, essendo b = b' il fascio non ha parabole degenere e tutte le parabole hanno lo stesso asse x = 2. Le coordinate del vertice sono:


    Come si vede tutte le parabole hanno il vertice sull'asse comune.

    Tracciamo alcune parabole del fascio:


Vediamo come si possono ottenere le equazioni di particolari fasci di parabole.

  • Primo caso: fascio di parabole combinando un'equazione canonica di parabola con l'equazione di una parabola degenere:

    y = ax2 + bx + c     e     dx2 + ex + f = 0

    con a ≠ 0 e d ≠ 0.

    Combinando linearmente le due parabole si ha:

    y = ax2 + bx + c + k(dx2 + ex + f)

    ossia

    y = (a + kd)x2 + (b + ke)x + c + kf

    che rappresenta un fascio di parabole con l'asse verticale. Come si vede tutti i coefficienti dei termini di secondo grado, di primo grado e di zero grado in x dipendono linearmente dal parametro k. Il numero dei punti base del fascio dipende dal discriminante della parabola degenere:

    • se Δ > 0

      Si hanno due punti base e una coppia di rette distinte di equazioni:

      x = x1     e     x = x2.

    • se Δ = 0

      Si ha un solo punto base doppio e una coppia di rette coincidenti di equazioni x = x1 = x2.

    • se Δ < 0

      Si ha nessun punto base e nessuna retta.

  • Secondo caso: fascio di parabole per due punti distinti:

    A(x1, y1) e B(x2, y2)

    L'equazione del fascio si ottiene combinando linearmente l'equazione di due parabole degenere. La prima parabola degenere ha equazione:

    (x - x1)(x - x2) = 0

    costituita dalle rette verticali x = x1 e x = x2

    La seconda parabola degenere ha equazione:

    ax + by + c = 0

    costituita dalla retta che passa per i due punti A e B. La loro combinazione lineare è:

    ax + by + c + k(x - x1)(x - x2) = 0

    che rappresenta l'equazione del fascio.

  • Terzo caso: fascio di parabole di vertice assegnato:

    V(x1, y1)

    L'equazione del fascio si ottiene combinando linearmente l'equazione di due parabole degenere. La prima parabola degenere ha equazione:

    (y - y1) = 0

    costituita dalla retta orizzontale passante per il vertice V.

    La seconda parabola degenere ha equazione:

    (x - x1)2 = 0

    costituita dalla coppia di rette coincidenti di equazione x = x1. La loro combinazione lineare è:

    y - y1 = k(x - x1)2

    che rappresenta l'equazione del fascio.

  • Quarto caso: fascio di parabole tangenti a una retta in un suo punto:

    ax + by + c = 0 e A(x1, y1)

    L'equazione del fascio si ottiene combinando linearmente l'equazione di due parabole degenere. La prima parabola degenere ha equazione:

    ax + by + c = 0

    costituita dalla retta data.

    La seconda parabola degenere ha equazione:

    (x - x1)2 = 0

    costituita dalla coppia di rette verticali coincidenti di equazione x = x1. La loro combinazione lineare è:

    ax + by + c + k(x - x1)2

    che rappresenta l'equazione del fascio.

© giuseppe sarnataro