Indice
Parabole con vertice nell'origine
Parabole con l'asse parallelo all'asse y
Parabole con l'asse parallelo all'asse x
Posizioni reciproche tra una parabola e una retta
Rette tangenti a una parabola
Segmento parabolico
Condizioni per determinare l'equazione di una parabola
Fasci di parabole
Studio di fasci di parabole
Segmento parabolico
Data una parabola, il segmento AB che unisce due punti A e B distinti della parabola è detto corda della parabola mentre la regione di piano delimitata dall'arco di parabola AB e dalla corda AB è detta segmento parabolico di base AB:
![]()
E' stato dimostrato da Archimede che l'area di un segmento parabolico di base AB è i 2/3 dell'area del rettangolo AA'B'B, dove A' e B' sono le proiezioni di A e B sulla tangente alla parabola parallela ad AB.
![]()
Ad esempio, determiniamo l'area S del segmento parabolico individuato dalla parabola di equazione:
y = x2 - 3x - 2
e dalla retta di equazione y = x - 2.
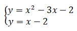
Risolvendo il sistema delle due equazioni
![]()
otteniamo le coordinate dei punti di intersezione A(0, -2) e B(4, 2). Una generica retta parallela ad AB ha equazione
y = x + q
e imponendo la condizione di tangenza alla parabola otteniamo q=-6 e quindi la retta tangente alla parabola è:
y = x - 6
Applicando il teorema di Pitagora otteniamo la distanza tra A e B pari a 4√2. La distanza di A dalla retta y=x-6 è 2√2. Pertanto l'area del rettangolo AA'B'B è:
![]()
e quindi l'area del segmento parabolico è:
![]()
![]()