Indice
Parabole con vertice nell'origine
Parabole con l'asse parallelo all'asse y
Parabole con l'asse parallelo all'asse x
Posizioni reciproche tra una parabola e una retta
Rette tangenti a una parabola
Segmento parabolico
Condizioni per determinare l'equazione di una parabola
Fasci di parabole
Studio di fasci di parabole
Parabole con l'asse parallelo all'asse y
Determiniamo l'equazione di una parabola con l'asse parallelo all'asse y e vertice V'(h, k) in una qualsiasi posizione del piano cartesiano. Supponiamo che la parabola con il vertice V'(h, k) sia ottenuta traslando tutti i punti di una parabola con vertice V(0, 0) di equazione y=ax2.
![]()
Sulla parabola y=ax2 è stata quindi eseguita una traslazione di equazioni:
![]()
Risolvendo la prima equazione rispetto a x e la seconda rispetto a y si ha:
![]()
Sostituendo le due relazioni nell'equazione y=ax2 otteniamo:
y' - k = a(x' - h)2
che è l'equazione della parabola con l'asse di simmetria parallelo all'asse delle y e che ha il vertice V'(h, k)
Ora, se omettendo gli apici e sviluppiamo l'equazione precedente si ha:y = ax2 - 2ahx + ah2 + k
e se poniamo b = -2ah   e   c = ah2 + k l'equazione precedente assume la forma:
y = ax2 + bx + c
che rappresenta l'equazione di una generica parabola con l'asse parallelo all'asse y.
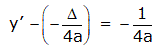
Dalle posizioni precedenti segue
![]()
e
![]()
Quindi il vertice V' e il fuoco F' della parabola traslata avranno rispettivamente coordinate
![]()
Trasformando con le solite equazioni l'equazione della direttrice d
![]()
si trova l'equazione della direttrice d'
![]()
cioè
![]()
Riassumendo:
L'equazione di una parabola con l'asse parallelo all'asse delle y è:y = ax2 + bx + c
con a, b, c coefficienti reali e a ≠ 0
Le coordinate del fuoco sono:
![]()
Le coordinate del vertice sono:
![]()
L'equazione della direttice è:
![]()
L'equazione dell'asse è:
![]()
dove Δ = b2 - 4ac.
Inoltre, per il coefficiente a valgono le stesse considerazioni fatte per le parabole di equazione y=ax2:
se a > 0 la parabola volge la concavità verso l'alto
se a < 0 la parabola volge la concavità verso il basso
più è piccolo il valore di |a| tanto più è aperta la curva
più è grande il valore di |a| tanto più è chiusa la curva.
![]()
Esempio 1: determiniamo le caratteristiche della parabola y=x2-4x+3 e tracciamo il suo grafico.
Calcoliamo il discriminante: Δ = b2 - 4ac = 16 - 12 = 4 e applichiamo le formule per trovare le coordinate del vertice, del fuoco, l'equazione dell'asse e della direttrice:
![]()
La parabola è simmetrica rispetto all'asse x=2 ed essendo a=1 rivolge la concavità verso l'alto. Per tracciarla in modo approssimativo basta conoscere, oltre al vertice solo alcuni punti. Per x = 0 si ha y=3 e quindi il punto (0, 3) e il punto (4, 3) (il simmetrico di (0, 3) rispetto a x=2) appartengono alla parabola; ponendo y=0 e svolgendo l'equazione x2-4x+3=0 si ottiene x1=1 e x2=3 pertanto la parabola interseca l'asse delle x nei punti (1, 0) e (3, 0). Avendo cinque punti si può tracciare approssimativamente il grafico della parabola.
![]()
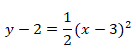
Esempio 2: determiniamo l'equazione della parabola ottenuta traslando tutti i punti della parabola y=1/2x2 di 3 unità a destra e 2 unità in alto.
L'equazione della parabola traslata è:
![]()
Cioè:
![]()
Ecco il grafico delle due parabole:
![]()
Notiamo che le due parabole sono sovrapponibili, sono cioè congruenti, perchè si passa da una all'altra parabola con un movimento rigido che non deforma la curva.
In generale si può dimostrare che due parabole con assi di simmetria paralleli all'asse y sono congruenti se hanno i coefficienti del termine di secondo grado uguali in valore assoluto.Ad esempio y=2x2; y=2x2+3x-1; y=-2x2-x+1 sono tra loro congruenti.
Vediamo le posizioni che assume la parabola di equazione y = ax2 + bx + c per particolari valori di b e c:
Se c = 0 e b ≠ 0 l'equazione assume la forma y = ax2 + bx e la parabola passa per l'origine degli assi.
Se b = 0 e c ≠ 0 l'equazione assume la forma y = ax2 + c e la parabola ha vertice V(0, c) e il suo asse di simmetria è l'asse y.
Se b = 0 e c = 0 l'equazione assume la forma y = ax2 e la parabola ha vertice V(0, 0) e il suo asse di simmetria è l'asse y.
![]()