Indice
Parabole con vertice nell'origine
Parabole con l'asse parallelo all'asse y
Parabole con l'asse parallelo all'asse x
Posizioni reciproche tra una parabola e una retta
Rette tangenti a una parabola
Segmento parabolico
Condizioni per determinare l'equazione di una parabola
Fasci di parabole
Studio di fasci di parabole
Rette tangenti a una parabola
Quante rette tangenti a una parabola si possono tracciare passanti per un dato punto P?
Dipende dalla posizione del punto P rispetto alla parabola:
se P è esterno alla parabola si possono tracciare due rette tangenti
![]()
se P è un punto della parabola si può tracciare una sola retta tangente
![]()
se P è interno alla parabola non si può tracciare nessuna retta tangente
![]()
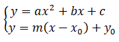
Per determinare le rette tangenti a una parabola passante per un generico punto P(x0, y0) esterno alla parabola si procede cosí:
si scrive l'equazione del fascio di rette proprio di centro P:
y = m(x - x0) + y0
si scrive il sistema formato dalle equazioni del fascio di rette e della parabola:
![]()
si scrive l'equazione risolvente del sistema:
ax2 + (b - m)x + c + mx0 - y0 = 0
si impone il discriminante uguale a zero (condizione di tangenza):
Δ = (b - m)2 - 4a(c + mx0 - y0) = 0
si ottiene un'equazione di secondo grado in m:
m2 - (2b + 4ax0)m + b2 - 4ac + 4ay0 = 0
si ricavono i due valori di m:
m1; m2
si determinano le due rette sostituendo i due valori di m nell'equazione del fascio di rette:
y = m1(x - x0) + y0   e   y = m2(x - x0) + y0
Ad esempio, determiniamo le tangenti alla parabola y = 2x2 - 7x + 4 passanti per il punto P(1, -3).
Scriviamo il sistema fascio-parabola:
![]()
Scriviamo l'equazione risolvente del sistema:
2x2 + (-7 - m)x + m + 7 = 0
Imponiamo il discrminante uguale a zero:
m2 + 14m + 49 - 8m - 56 = 0
Cioè:
m2 + 6m - 7 = 0
risolviamo l'equazione rispetto a m:
m1 = -7 e m2 = 1
sostituiamo i due valori di m nell'equazione del fascio di rette:
y= -7x + 4   e   y = x - 4
![]()
Il metodo per determinare le rette tangenti a una parabola passante per un generico punto P(x0, y0) esterno alla parabola è valido anche nel caso in cui il punto P(x0, y0) appartenga alla parabola. In questo caso quando si impone la condizione di tangenza, cioè la condizione che sia nullo il discriminante dell'equazione risolvente del sistema fascio-parabola si ottiene un'equazione di secondo grado in m che ha per soluzioni due valori coincidenti di m cioè m1=m2.
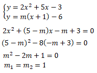
Ad esempio, troviamo l'equazione della tangente alla parabola y = 2x2 + 5x - 3 passante nel suo punto P(-1, -6).
Scriviamo il sistema fascio-parabola, individuiamo l'equazione risolvente del sistema, imponiamo il discriminante uguale a zero e determiniamo m:
![]()
La retta tangente è quindi:
y= (x +1) - 6 → y = x - 5
Ecco il grafico:
![]()
Nel caso in cui il punto P(x0, y0) appartenga alla parabola esistono due formule che permettono di scrivere subito l'equazione della retta tangente alla parabola in quel punto senza dover impostare il sistema tra le equazioni della parabola e della retta.
Prima formula: Permette di determinare direttamente il coefficiente della retta tangente alla parabola in un suo punto. Consideriamo l'equazione risolvente del sistema tra le equazioni della parabola e della retta:
ax2 + (b - m)x + c + mx0 - y0 = 0
Affinchè la retta sia tangente alla parabola, l'equazione risolvente deve avere due radici reali coincidenti e tali radici devono essere uguali a x0. Ora, sappiamo che, in un'equazione di secondo grado la somma delle radici è uguale all'opposto del rapporto tra secondo e primo coefficiente, cioè:
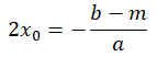
![]()
e risolvendo rispetto a m si ha:
![]()
Pertanto l'equazione della retta tangente alla parabola in un suo punto P(x0, y0) è:
y - y0 = (2ax0 + b)(x - x0)
Ad esempio, applicando direttamente questa formula, possiamo determinare l'equazione della retta tangente alla parabola y = 2x2 + 5x - 3 passante nel suo punto P(-1, -6):
y - y0 = (2ax0 + b)(x - x0) → y + 6 = [2⋅2⋅(-1) + 5](x + 1) → y = x - 5
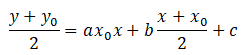
Seconda formula: Detta formula di sdoppiamento permette di ottenere direttamente l'equazione della retta tangente alla parabola in un suo punto sostituendo nell'equazione della parabola:
![]()
e quindi l'equazione della retta tangente è:
![]()
Ad esempio, applicando questa formula, possiamo determinare direttamente l'equazione della retta tangente alla parabola:
y = 2x2 + 5x - 3
passante nel suo punto P(-1, -6):
![]()
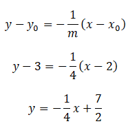
Si definisce retta normale a una parabola in un suo punto, la retta perpendicolare alla tangente alla parabola in quel punto. Ad esempio, determiniamo la retta normale alla parabola di equazione y=2x2-4x+3 nel suo punto P(2, 3).
Determiniamo il coefficiente della retta tangente alla parabola nel punto P:m = (2ax0 + b) = (2 ⋅ 2 ⋅ 2 - 4) = 4
Pertanto l'equazione della retta perpendicolare alla tangente alla parabola in P è:
![]()
Ecco il grafico con parabola, retta tangente e retta normale nel punto P(2, 3):
![]()