Indice
Parabole con vertice nell'origine
Parabole con l'asse parallelo all'asse y
Parabole con l'asse parallelo all'asse x
Posizioni reciproche tra una parabola e una retta
Rette tangenti a una parabola
Segmento parabolico
Condizioni per determinare l'equazione di una parabola
Fasci di parabole
Studio di fasci di parabole
Condizioni per determinare l'equazione di una parabola
Nell'equazione di una generica parabola:
y = ax2 + bx + c   oppure   x = ay2 + by + c
sono presenti i tre parametri a, b, c e quindi per determinare l'equazione di una data parabola dobbiamo avere tre informazioni tali da poter determinare i tre parametri. Queste tre informazioni, dette condizioni, permettono di poter impostare un sistema di tre equazioni nelle tre incognite a, b, c. Ad esempio:
La conoscenza delle coordinate del fuoco o del vertice corrispondono a due condizioni perchè utilizzando le formule relative all'ascissa e all'ordinata, possiamo scrivere due equazioni nelle tre incognite.
La conoscenza delle coordinate di un punto della parabola corrisponde a una sola condizione perchè inserendo il valore dell'ascissa e dell'ordinata nell'equazione canonica della parabola possiamo scrivere una sola equazione nelle tre incognite.
Anche la conoscenza dell'asse di simmetria o della direttrice o di una retta tangente corrisponde a una sola condizione.
Elenchiamo alcune possibili condizioni che permettono di determinare l'equazione di una parabola:
Le coordinate di tre punti non allineati.
Le coordinate del fuoco e del vertice.
Le coordinate del fuoco e di un punto della parabola.
Le coordinate di due punti della parabola e l'equazione di una retta tangente.
Le coordinate del vertice e l'equazione della direttrice.
Le coordinate di un punto, l'equazione dell'asse e della direttice.
Vediamo tre tipologie di problemi:
Problema 1: Determina l'equazione della parabola con asse di simmetria parallelo all'asse y e passante per i punti A(2, 2), B(3, 1), C(5, 5).
Imponiamo che i tre punti appartengono alla parabola sostituendo nell'equazione y = ax2+bx+c a x e a y le coordinate dei tre punti. Otteniamo cosí il sistema di tre equazioni nelle incognite a, b, c.
![]()
che ha per soluzione:
a=1,   b=-6,   c=10
L'equazione della parabola è quindi:
y = x2 - 6x + 10
Ecco il grafico:
![]()
Problema 2: determina l'equazione della parabola con asse di simmetria parallelo all'asse y passante per i punti A(-3, -1), B(-4, 2) e tangente alla retta y=2x+1.
Dalla condizione passaggio per A si ottiene l'equazione:-1 = 9a - 3b + c
Dalla condizione passaggio per B si ottiene l'equazione:
2 = 16a - 4b + c.
Dalla condizione tangente alla retta y=2x+1 si ottiene l'equazione nelle incognite a, b, c dopo alcuni passi:
Primo passo: scrivere il sistema costituito dall'equazione canonica della parabola e dall'equazione della retta tangente.
![]()
Secondo passo: scrivere l'equazione risolvente del sistema.
ax2 + bx + c = 2x + 1
Terzo passo: imporre il discriminante uguale a zero.
(b-2)2 - 4a(c - 1) = 0
e quest'ultima equazione rappresenta la terza condizione.
Possiamo ora scrivere il sistema di tre equazioni nelle incognite a, b, c.
![]()
che ha due soluzioni:
a1=1,   b1=4,   c1=2
a2=25,   b1=172,   c2=290Le equazioni delle parabole sono:
y = x2 + 4x + 2   e   y = 25x2 + 172x + 290
Ecco il grafico:
![]()
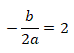
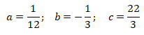
Problema 3: determina l'equazione della parabola con l'asse di simmetria parallelo all'asse y di vertice V(2, 7) e direttrice y = 4.
Prima condizione: conoscendo l'ascissa del vertice si ha:
![]()
Seconda condizione: conoscendo l'ordinata del vertice si ha:
![]()
Terza condizione: conoscendo l'equazione della direttrice si ha:
![]()
Risolvendo il sistema formato dalle equazioni delle tre condizione si ottiene:
![]()
e l'equazione della parabola è:
![]()
Ecco il grafico:
![]()