Indice
Circonferenza come luogo geometrico
Circonferenze particolari
Le posizioni di una retta rispetto a una circonferenza
Rette tangenti a una circonferenza
Condizioni per determinare l'equazione di una circonferenza
Posizione reciproca tra due circonferenze
Fascio di circonferenze
Studio di un fascio di circonferenze
Funzioni irrazionali e grafico di una semicirconferenze
Condizioni per determinare l'equazione di una circonferenza
Nell'equazione di una generica circonferenza x2+y2+ax+by+c=0 sono presenti i tre parametri a, b, c e quindi per determinare l'equazione di una data circonferenza è necessario avere tre condizioni scelte tra: centro, raggio, passaggio per un punto, retta tangente. Possono, quindi, presentarsi vari casi vediamone alcuni:
Esempio 1: Circonferenza dati tre punti non allineati.
Determiniamo l'equazione della circonferenza passante per i tre punti non allineati A(1, 1), B(2, 2), C(2, 3).
Poichè i tre punti devono appartenere alla stessa circonferenza, le loro coordinate devono soddisfare l'equazionex2 + y2 + ax + by + c = 0
e quindi devono essere verificate simultaneamente le tre equazioni
![]()
Cioè
![]()
L'unica soluzione di questo sistema di tre equazioni di primo grado è:
a = -1; b = -5; c = 4
Pertanto esiste un'unica circonferenza che passa per i tre punti dati e ha equazione
x2 + y2 + (-1)x + (-5)y + 4 = 0
Come si vede dal grafico
![]()
Esempio 2: Circonferenza dato il centro e il raggio.
Determiniamo l'equazione della circonferenza di centro C(-2, 0) e raggio r = 2.
L'equazione della circonferenza con centro C(α, β) e raggio r è:(x - α)2 + (y - β)2 = r2
Che nel nostro caso diventa
(x + 2)2 + y2 = 22
Cioè
x2 + y2 + 4x = 0
Esempio 3: Circonferenza dato il diametro.
Determiniamo l'equazione della circonferenza che ha come diametro il segmento di estremi A(3, -3) e B(-1, -1).
Essendo il centro C della circonferenza il punto medio del segmento AB le sue coordinate sono C(1, -2). Imponendo che la circonferenza passi per A (o per B) e che il suo centro sia C(1, -2) si ottiene il sistema:
![]()
L'unica soluzione di questo sistema di tre equazioni di primo grado è:
a = -2; b = 4; c = 0
Pertanto esiste un'unica circonferenza che ha equazione
x2 + y2 + (-2)x + (+4)y + 0 = 0
![]()
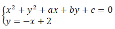
Esempio 4: Circonferenza dati il centro e una retta tangente.
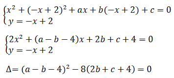
Determiniamo l'equazione della circonferenza di centro C(-1, -1) e tangente alla retta y=-x+2.
La condizione che la circonferenza di equazione x2+y2+ax+by+c=0 sia tangente alla retta y=-x+2 si ottiene mediante il sistema
![]()
e imponendo la condizione di tangenza (Δ=0) all'equazione risolvente
![]()
Il sistema da risolvere è quindi
![]()
L'unica soluzione di questo sistema di tre equazioni di primo grado è:
a = 2; b = 2; c = -6
Pertanto esiste un'unica circonferenza che ha equazione
x2 + y2 + 2x + 2y - 6 = 0
![]()
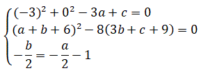
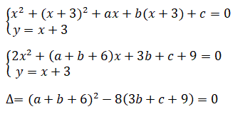
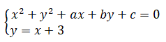
Esempio 5: Circonferenza dati una retta r tangente, un punto, il centro C sulla retta s.
Determiniamo l'equazione della circonferenza tangente alla retta r: y=x+3, passante per il punto P(-3, 0) e avente il centro C sulla retta s: y=x-1.
Poniamo il discriminante dell'equazione risolvente il sistema
![]()
uguale a zero
![]()
Il sistema da risolvere è quindi
![]()
L'unica soluzione di questo sistema di tre equazioni di primo grado è:
a = 2; b = 4; c = -3
Pertanto esiste un'unica circonferenza che ha equazione
x2 + y2 + 2x + 4y - 3 = 0
![]()