Indice
Circonferenza come luogo geometrico
Circonferenze particolari
Le posizioni di una retta rispetto a una circonferenza
Rette tangenti a una circonferenza
Condizioni per determinare l'equazione di una circonferenza
Posizione reciproca tra due circonferenze
Fascio di circonferenze
Studio di un fascio di circonferenze
Funzioni irrazionali e grafico di una semicirconferenze
Rette tangenti a una circonferenza
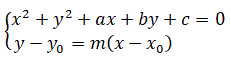
Data una circonferenza di equazione x2+y2+ax+by+c=0 e un punto P(x0, y0) consideriamo le eventuali rette tangenti alla circonferenza e passanti per P. Possiamo avere tre situazioni:
Il punto P è esterno alla circonferenza, in tal caso esistono due rette distinte passanti per P e tangenti alla circonferenza.
![]()
Il punto P è sulla circonferenza, in tal caso esiste un'unica retta passante per P e tangente alla circonferenza.
![]()
Il punto P è interno alla circonferenza, in tal caso non esiste nessuna retta passante per P e tangente alla circonferenza.
![]()
Primo caso: Il punto P è esterno alla circonferenza.
Per determinare le equazioni delle rette tangenti alla circonferenza x2+y2+ax+by+c=0 passanti per un punto P(x0, y0) esterno alla circonferenza si procede nel seguente modo:
Si scrive l'equazione della generica retta passante per P:
y - y0 = m(x - x0
Si considera il sistema formato dall'equazione della circonferenza e dalla retta generica passante per P:
![]()
Si ricava y nell'equazione della retta e si sostituisce nell'equazione della circonferenza.
Si ottiene così un'equazione di secondo grado in x detta equazione risolvente e si impone la condizione di tangenza cioè Δ = 0 in questo modo si ottiene un'equazione di secondo grado in m.
Si risolve l'equazione in m e si ricavano i due coefficienti angolari m1, m2 delle rette tangenti. Le due equazioni delle rette si ottengono sostituendo m della retta generica con i due valori trovati.
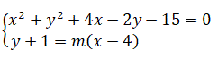
Esempio: Determiniamo le rette passanti per il punto P(4, -1) e tangenti alla circonferenza
x2+y2+4x-2y-15=0.
Determiniamo inoltre le coordinate dei punti di tangenza.
Scriviamo l'equazione generica di una retta passante per P:y + 1 = m(x - 4)
Scriviamo il sistema tra l'equazione della circonferenza e la retta generica:
![]()
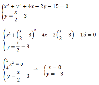
Ricaviamo la y dall'equazione della retta e sostituiamola nell'equazione della circonferenza:
![]()
Otteniamo così l'equazione risolvente:
![]()
Imponiamo la condizione di tangenza:
![]()
Svolgendo otteniamo l'equazione di secondo grado in m:
2m2 + 3m - 2 = 0
che ha per soluzioni:
![]()
Le equazioni delle rette tangenti sono quindi:
![]()
Cioè:
![]()
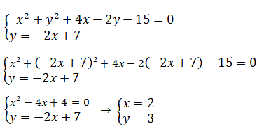
Determiniamo il punto di tangenza tra la prima retta e la circonferenza risolvendo il sistema:
![]()
Determiniamo il punto di tangenza tra la seconda retta e la circonferenza risolvendo il sistema:
![]()
Quindi i punti di tangenza sono A(0, -3) e B(2, 3):
![]()
Secondo caso: Il punto P appartiene alla circonferenza.
Possiamo applicare lo stesso procedimento utilizzato per il punto P esterno alla circonferenza e in tal caso si troveranno due valori coincidenti m1=m2 del coefficiente angolare della retta tangente. In alternativa possiamo utilizzare due metodi più semplici:
Primo metodo: Perpendicolarità tra la retta tangente e il raggio della circonferenza.
Essendo la retta tangente passante per P perpendicolare al raggio CP, il suo coefficiente angolare è l'opposto del reciproco del coefficiente angolare del raggio CP. Pertanto si procede nel seguente modo:
Si determinano le coordinate del centro C della circonferenza.
Si determina il coefficiente angolare m della retta CP.
Si determina il coefficiente angolare m'=-1/m.
Si scrive l'equazione della tangente y - y0 = m'(x - x0.
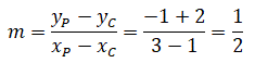
Esempio: Determiniamo l'equazione della retta tangente alla circonferenza
x2+y2-2x+4y=0
e passante per un suo punto P(3, -1).
Le coordinate del centro C della circonferenza sono: C(1,-2). Il coefficiente angolare della retta CP è:
![]()
Il coefficiente angolare della retta tangente in P è:
![]()
L'equazione della retta tangente è quindi:
y + 1 = -2(x - 3) → y = -2x +5
![]()
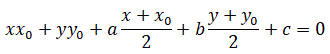
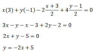
Secondo metodo: Formula di sdoppiamento.
Una retta tangente alla circonferenzax2+y2+ax+by+c=0
in un suo punto P(x0, y0) ha per equazione:
![]()
dove è stato posto:
![]()
Applichiamo questo metodo all'esempio precedente.
Esempio: Determiniamo con la formula di sdoppiamento l'equazione della retta tangente alla circonferenza
x2+y2-2x+4y=0
e passante per un suo punto P(3, -1).
![]()
e come si vede si ottiene lo stesso risultato.