Equazione di una retta
La pendenza di una retta è la pendenza di un qualsiasi segmento in essa contenuto. Sia r una retta non verticale e siano A e B due suoi punti qualsiasi (purchè distinti). Chiameremo pendenza o coefficiente angolare della retta r la pendenza del segmento AB. Se la retta è verticale la pendenza è indefinita (perchè tale è la pendenza di ogni segmento). Nel piano cartesiano, ogni retta r non verticale è individuata da un suo punto A = (xA, yA) e dalla sua pendenza m. Indichiamo con (x, y) le coordinate di un generico punto P di r (distinto da A).
![]()
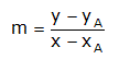
Poichè la pendenza di r è m deve essere:
![]()
cioè
![]()
Quest'ultima è un'equazione di primo grado in x e y ed è verificata da tutti i punti di r (compreso il caso in cui sia P=A, perchè si riduce a 0=0). Viceversa se P è un punto le cui coordinate (x, y) soddisfano l'equazione allora P è certamente un punto che appartiene ad r (perchè il segmento AP ha pendenza m e dunque è contenuto in r). Questo risultato è importante perchè siamo in grado di associare ad ogni retta non verticale, rappresentata nel piano cartesiano, un'equazione di primo grado in x e y del tipo esaminato e, viceversa, ad ogni equazione di questo tipo siamo in grado di associare una retta (non verticale). In altre parole. possiamo rappresentare degli oggetti geometrici (delle rette) mediante oggetti algebrici (delle equazioni). Questa è l'idea centrale della geometria analitica: stabilire uno stretto nesso tra algebra e geometria.
Riassumendo:
In un piano cartesiano una retta r non verticale che passa per il punto A e ha pendenza m è il grafico dell'equazioney - yA = m(x - xA)
Diremo che tale equazione è l'equazione della retta r. La pendenza m della retta prende anche il nome di coefficiente angolare.
La pendenza m di una retta è detta coefficiente angolare perchè fornisce l'informazione sull'ampiezza dell'angolo α che la retta forma con l'asse x. Se m è positivo l'angolo α è acuto, invece se m è negativo l'angolo α è ottuso.
![]()
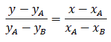
Consideriamo l'equazione y - yA = m(x - xA) e tenendo presente che
![]()
si ha:
![]()
cioè
![]()
Abbiamo così trovato l'equazione di una retta non verticale passante per due punti A(xA, yA) e B(xB, yB).
Risolvendo l'equazione y - yA = m(x - xA) rispetto a y si ottiene:y = mx - mxA + yA
e ponedo q = - mxA + yA l'equazione della retta assume la forma
y = mx + q
Qual è il significato della costante q? E' facile capirlo. Quando x=0 si ha y=q; ciò significa che il punto (0, q) appartiene alla nostra retta (perchè le sue coordinate soddisfano l'equazione). Ma (0, q) è il punto in cui r taglia l'asse delle y e q è l'ordinata di questo punto. Diremo che q è l'ordinata all'origine.
![]()
Abbiamo dunque trovato un'altra forma per l'equazione di una retta non verticale.
Riassumendo:
Una generica retta non verticale ha equazione y = mx + q dove m è la pendenza della retta e q l'ordinata all'origine. La chiameremo equazione di una retta in forma esplicita.
Vediamo ora alcuni casi particolari di retta non verticale.
Se una retta passa per l'origine
![]()
ha l'ordinata all'origine nulla e quindi la sua equazione è del tipo
y = mx
Se una retta passa per l'origine e m = 1 la retta di equazine y = x è la bisettrice del primo e terzo quadrante:
![]()
Se ci spostiamo lungo la retta, ci accorgiamo che l'ordinata dei suoi punti è sempre uguale alla loro ascissa.
Se una retta passa per l'origine e m = -1 la retta di equazine y = -x è la bisettrice del secondo e quarto quadrante:
![]()
Se ci spostiamo lungo la retta, ci accorgiamo che l'ordinata dei suoi punti è uguale all'opposto della loro ascissa.
Se una retta è parallela all'asse delle x
![]()
ha il coefficiente angolare nullo e quindi l'equazione diventa y = q
Conosciamo l'equazione di qualsiasi retta non verticale. E le rette verticali? Possiamo associare anche a queste un'equazione che le individui? Sí. Una retta verticale è caratterizzata da questa proprietà: i suoi punti hanno tutti la stessa ascissa. Ad esempio i punti della retta in figura
![]()
hanno tutti l'ascissa uguale a 3 mentre l'ordinata è libera di variare; quindi la condizione algebrica che individua i suoi punti è:
x = 3
ed è un'equazione in cui non campare la y.
In generale: l'equazione di una retta verticale è x = h.
Possiamo quindi concludere che ogni retta del piano cartesiano ha un'equazione del tipo y=mx+q oppure x=h e, viceversa, a ogni equazione di questo tipo corrisponde una ben precisa retta del piano.
![]()