Indice
Equazioni lineari in due incognite
Sistemi di equazioni di primo grado
Come si risolve un sistema lineare: metodo di sostituzione
Come si risolve un sistema lineare: metodo del confronto
Come si risolve un sistema lineare: metodo di eliminazione
Come si risolve un sistema lineare: metodo di Cramer
Sistemi lineari determinati, indeterminati e impossibili
Sistemi lineari di 3 equazioni in 3 incognite
Applicazioni dei sistemi lineari
Applicazioni dei sistemi lineari
I sistemi di equazioni lineari costituiscono un modello algebrico ideale per affrontare e risolvere problemi che presentano più di una incognita e per tale motivo sono ampiamente utilizzati. Vediamo alcuni esempi.
Problema 1: La differenza tra due numeri interi è uguale a 7 e il triplo del numero minore più il doppio del numero maggiore è uguale a 54. Quali sono i due numeri?
L'enunciato di questo problema (come abbiamo già visto) può essere tradotto in un'equazione di primo grado in una sola incognita anche se le incognite sono due: numero maggiore e numero minore. Per eliminare questa difficoltà fu utilizzato l'espediente di esprimere una delle due incognite in funzione dell'altra. Ora, possiamo tradurre l'enunciato del problema, in un modo più naturale, utilizzando un sistema lineare con due equazioni in due incognite. Possiamo indicare con l'incognita x il numero maggiore e con l'incognita y il numero minore (o viceversa) e tradurre in modo più agevole le informazioni presenti nel testo del problema nel sistema lineare:
![]()
che possiamo risolvere facilmente applicando il metodo della sostituzione:
![]()
Problema 2: E' noto dalla chimica che il ferro (il cui atomo si indica con Fe) reagendo con il cloruro ferrico (la cui molecola è FeCl3, cioè un atomo di ferro legato con tre atomi di cloro) forma il cloruro ferroso (la cui molecola è FeCl2, un atomo di ferro legato con due atomi di cloro). Si scrive
Fe + FeCl3 → FeCl2
Questa reazione, però, non tiene conto del principio di Lavoisier. Tale principio afferma che una reazione chimica deve sempre essere bilanciata cioè il numero di atomi di ciascun elemento che compare a sinistra della freccia deve essere uguale al numero di atomi che lo stesso elemento ha a destra. Come possiamo bilanciarla?
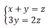
Supponiamo che x, y e z siano i coefficienti numerici della reazione bilanciataxFe + yFeCl3 → zFeCl2
cioè x atomi di Fe più y molecole di FeCl3 devono bilanciare z molecole di FeCl2. Affinchè gli atomi di ferro siano bilanciati dovrà essere:
x + y = z
e affinchè lo siano gli atomi di cloro dovrà essere
3y = 2z
Pertanto si ottiene il sistema di due equazioni in tre incognite
![]()
Risolvendolo rispetto ad x e y si hanno le soluzioni
![]()
in funzione di z. Quindi, da un punto di vista algebrico, il sistema ha infinite soluzioni perchè z può assumere qualsiasi valore reale. Da un punto di vista chimico, però, x, y e z devono essere numeri interi; inoltre è opportuno che il numero di atomi coinvolti nella reazione sia il minimo possibile. Deve quindi necessariamente essere z=3 e di conseguenza x=1 e y=2. In conclusione la reazione bilanciata è
Fe + 2FeCl3 → 3FeCl2
Qui infatti compaiono sia a destra che a sinistra 3 atomi di ferro e 6 atomi di cloro.
Problema 3: Anna e Marta abitano agli estremi di una via rettilinea lunga 2100 m. Decidono di incontrarsi e partono con la bici nello stesso istante. Anna si muove con una velocità media di 12 km/h e Marta con una velocità media di 9 km/h. Dopo quanto tempo si incontreranno e a quale distanza dalla casa di Anna?
![]()
Supponiamo che sia t il tempo impiegato dalle due amiche per incontrarsi. Chiaramente le distanze percorse al momento dell'incontro non saranno uguali poichè dipendono dalle rispettive velocità. Lo spazio s1 percorso da Anna nel tempo t, è dato dall'equazione
s1 = v1t
mentre lo spazio s2 percorso da Marta è dato dall'equazione
s2 = v2t
Al momento dell'incontro, inoltre, deve essere
s1 + s2 = d
dove d è la lunghezza della strada. Siamo pertanto condotti a risolvere il sistema
![]()
nelle incognite t, s1 ed s2. Risolvendo si trova
![]()
E inserendo i dati noti del problema si ottiene:
s1 = 1,2 km, s2 = 0,9 km, t = 6 minuti