Indice
Equazioni lineari in due incognite
Sistemi di equazioni di primo grado
Come si risolve un sistema lineare: metodo di sostituzione
Come si risolve un sistema lineare: metodo del confronto
Come si risolve un sistema lineare: metodo di eliminazione
Come si risolve un sistema lineare: metodo di Cramer
Sistemi lineari determinati, indeterminati e impossibili
Sistemi lineari di 3 equazioni in 3 incognite
Applicazioni dei sistemi lineari
Sistemi lineari di 3 equazioni in 3 incognite
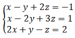
Un sistema lineare può avere n equazioni lineari in n incognite, ad esempio il sistema:
![]()
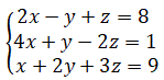
ha tre equazioni lineari nelle tre incognite x, y, z e naturalmente se è determinato ha per soluzione una terna ordinata di numeri reali che soddisfa tutte e tre le equazioni che compongono il sistema. Per risolvere un sistema lineare di tre equazioni in tre incognite possiamo applicare gli stessi metodi applicati per risolvere i sistemi lineari di due equazioni in due incognite oppure una loro opportuna combinazione. Ad esempio vediamo come possiamo risolvere il sistema lineare:
![]()
Primo passo: Risolviamo una qualsiasi delle equazioni rispetto a una delle tre incognite; scegliamo di risolvere la prima equazione rispetto a y cioè
y = 2x + z − 8
Poi sostituiamo nelle altre due equazioni l'espressione dell'incognita scelta (nel nostro caso y)
![]()
Secondo passo: Consideriamo il sistema formato dalle due ultime equazioni del passo precedente; in tal modo si ha un sistema lineare di due equazioni nelle due incognite x e z.
![]()
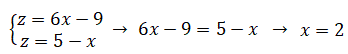
Terzo passo: Risolviamo il sistema in due equazioni utilizzando il metodo più comodo; in questo caso conviene il metodo del confronto:
![]()
Quarto passo: Sostituiamo il valore ottenuto per x per determinare le altre due incognite
![]()
La soluzione del sistema è quindi x = 2, y = −1, z = 3 cioè la terna ordinata (2, -1, 3).