Problemi di probabilità in cui compare e

Il numero e spunta fuori in modo inaspettato anche in molti problemi di probabilità. Vediamo uno di questi problemi:

  • Il problema dei cappelli.

    Una comitiva di dieci uomini depositano al guardaroba del teatro i loro cappelli


    ma la guardarobiera un pò distratta scambia gli scontrini prima di darli ai clienti. Dopo lo spettacolo i dieci uomini vanno a ritirare i loro cappelli; qual è la probabilità che nessuno riceva indietro il proprio cappello?

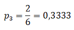
    In modo equivalente possiamo pensare che i cappelli siano numerati da 1 a 10 e ci siano 10 caselle anch'esse numerate da 1 a 10, se ogni cappello viene messo a caso in una casella vuota qual è la probabilità che in nessun caso il numero del cappello corrisponde al numero della casella? Procediamo gradualmente e supponiamo di avere solo tre cappelli e tre caselle: possiamo sistemare i cappelli in 3!=6 modi differenti e ci sono solo 2 casi in cui il numero del cappello non corrisponde al numero della casella.


    Con 3 cappelli la probabilità del massimo disordine è quindi:


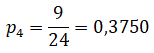
    Con 4 cappelli e 4 caselle possiamo sistemare i cappelli in 4!=24 modi differenti e ci sono 9 casi in cui il numero del cappello non corrisponde al numero della casella.


    Con 4 cappelli la probabilità del massimo disordine è quindi:


    Con 5 cappelli e 5 caselle possiamo sistemare i cappelli in 5!=120 modi differenti e ci sono 44 casi in cui il numero del cappello non corrisponde al numero della casella e quindi la probabilità del massimo disordine è:


    Con 6 cappelli e 6 caselle possiamo sistemare i cappelli in 6!=720 modi differenti e ci sono 265 casi in cui il numero del cappello non corrisponde al numero della casella e quindi la probabilità del massimo disordine è:


    Ora, aumentando il numero dei cappelli e quindi delle caselle è facile determinare il numero totale dei modi differenti in cui si possono sistemare ogni cappello nella singola casella perchè è dato dal numero di permutazioni possibili, invece controllare tutti i casi in cui il numero del cappello non corrisponde al numero della casella è molto lungo e laborioso, però esiste una formula che permette di determinarlo direttamente:


    Ad esempio con 7 cappelli ci sono 7!=5040 permutazioni per la sistemazione dei cappelli e


    casi in cui il numero del cappello non corrisponde al numero della casella e la probabilità del massimo disordine è:


    La probabilità che nessuno dei 10 uomini riceva indietro il proprio cappello è quindi:


    A questo punto vediamo dove spunta fuori il numero e. Consideriamo la serie infinita ex:


    e ponendo x=-1 si ottiene:


    Possiamo allora riscrivere la formula per determinare il numero totale in cui il numero del cappello non corrisponde al numero della casella:


    e quindi la probabilità cercata diventa:


    e in generale:




© giuseppe sarnataro