Modello di accrescimento o di decadimento
Tutti i fenomeni che avvengono con intensità costante di accrescimento (o di decadimento) e quindi con uguali incrementi in uguali intervalli di tempo possono essere descritti con una funzione esponenziale avente per base il numero e. Fenomeni di questo tipo sono presenti in molti ambiti scientifici dalla fisica alla chimica, alla biologia, all'economia. Ad esempio, la crescita del numero di atomi coinvolti nella fissione nucleare
![]()
oppure la crescita del numero di batteri in un brodo di coltura, oppure la crescita della popolazione mondiale, oppure la crescita del capitale investito con un interesse composto, oppure il decadimento di una sostanza radioattiva. Il modello matematico in grado di esprimere questi fenomeni che evolvono con continuità nel tempo è costituito dalla funzione esponenziale:
N(t) = N0ekt
dove N(t) è la quantità all'istante t, N0 la quantità all'istante t=0, k è una costante che dipende dalla velocità di crescita o di decrescita (k è positivo nella crescita e negativo nella decrescita), t è l'intervallo di tempo della durata del fenomeno, e è il numero di Nepero. Il grafico della funzione N(t) = N0ekt con k>0 è tutto contenuto nel semipiano delle coordinate positive e mette in evidenza che al crescere dei valori della variabile t i corrispondenti valori di N(t) crescono molto rapidamente, inoltre il grafico passa per il punto (0, N0).
![]()
Dall'espressione di N(t) = N0ekt possiamo determinare quanto tempo è necessario affinchè avvenga una determinata crescita della quantità iniziale, cioè:
![]()
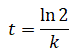
Nella crescita esponenziale spesso è utile determinare il tempo di "raddoppiamento" che è il tempo necessario affinchè la grandezza raddoppi il proprio valore cioè N(t)=2N0:
![]()
Vediamo un esempio di accrescimento che può essere applicato generalmente:
Consideriamo un capitale di 100 € impiegato al tasso composto del 4 per cento per un tempo t. Il capitale a disposizione dopo un tempo t sarà:C(t) = 100(1+0,04)t = 100(1,04)t = 100⋅etln(1,04)
e ponendo k = ln(1,04) si ha:
C(t) = 100⋅ekt
Possiamo determinare il tempo di raddoppiamento del capitale di 100 € impiegato al tasso composto del 4 per cento dove k = ln(1,04):
![]()
Possiamo verificare la correttezza del calcolo con la formula:
C(t) = 100(1+0,04)17,6729... = 200
Nel modello di decrescita esponenziale cambia il segno di k che è negativo e il grafico della funzione N(t) è ancora tutto contenuto nel semipiano delle coordinate positive ma al crescere dei valori della variabile t i corrispondenti valori di N(t) decrescono molto rapidamente.
![]()
Un'importante applicazione del modello di decrescita è la datazione di fossili di natura organica che si basa sul decadimento radioattivo del carbonio 14 un isotopo del carbonio 12. Negli esseri viventi il rapporto tra i due tipi di carbonio è costante ma dopo la morte la quantità di carbonio 12 resta invariata mentre quella del carbonio 14 diminuisce progressivamente perchè inizia a decadere. Conoscendo la quantità di carbonio 14 rimasta nel fossile è possibile stabilire quanto tempo è trascorso dal suo decesso. Il tempo di dimezzamento del carbonio 14 è di 5730 anni. Vediamo un esempio:
Un campione di legno prelevato da un sarcofano egiziano ha rivelato una concetrazione di carbonio 14 pari a circa il 58% di quella originaria. A quanto si può far risale il reperto?
Consideriamo la funzione della decrescita esponenziale:N(t) = N0ekt   con k<0
e determiniamo la costante k che dipende dal tempo di dimezzamento t=5730 anni e dal rapporto tra N(t) e N0 che è pari a 1/2.
![]()
Possiamo quindi scrivere:
![]()
E prendendo i logaritmi naturali dei due membri si ha:
![]()