La catenaria

Galileo Galilei (1564-1642) notò che una catenina (o una corda) flessibile sospesa alle sue estremità e soggetta solo alla forza di gravità assumeva la forma di una curva simmetrica e cercò di determinare la sua equazione. Non riuscendo a definire il reale andamento di questa curva perchè non aveva ancora gli strumenti matematici adeguati come il calcolo infinitesimale suppose, per analogia al moto di un proiettile, che tale curva fosse una parabola.


Nel 1669 il matematico tedesco Joachim Jungius si accorse che questa curva in realtà non è una parabola e Christian Huygens (1629-1695) la chiamò catenaria. Come si può vedere dal grafico le due curve, almeno nella parte iniziale, sono quasi coincidenti.


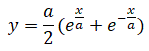
Nel 1690 Jacob Bernoulli fu attratto da questa curva e su una rivista matematica pose il problema della determinazione della sua equazione sottoforma di sfida ai più importanti matematici del suo tempo. Un anno dopo Goffredo Leibniz (1646-1716), Johann Bernoulli, e Christian Huygens scoprirono la sua equazione che in coordinate cartesiane, contiene il numero e.


dove il parametro a tiene conto della distanza tra i due estremi sui quali è stata sospesa la corda. La catenaria ha una proprietà fisica particolare: ha in ogni suo punto una distribuzione uniforme del suo peso totale perchè la tensione in ogni punto è sempre tangente alla traettoria della curva. Questo vuol dire che una catenaria capovolta forma una curva che rappresenta la forma migliore che può assumere un arco per sostenere il proprio peso pertanto questa struttura ha la massima resistenza con il minimo materiale. In altre parole la catenaria è l'arco ideale per realizzare le arcate dei ponti o le cupole delle chiese. L'architetto spagnolo Antoni Gaudì (1852-1926) realizzò meravigliosi edifici e la chiesa, simbolo della città di Barcellona, La Sagrada Familia sfruttando le prorietà di questa curva.


In natura possiamo osservare curve a forma di catenaria guardando la tela di una ragnatela piena di goccioline di ruggiada in un mattino umido.



© giuseppe sarnataro