La relazione più attraente della matematica

La relazione:


nota come identità di Eulero, è stata considerata come la formula più sorprendente della matematica perchè mette in relazione tra loro cinque diverse costanti della matematica:

  • 1 è l'elemento neutro della moltiplicazione;

  • 0 è l'elemento neutro dell'addizione;

  • i è l'unità immaginaria;

  • e è il numero di Nepero ed è la base dei logaritmi naturali;

  • Π è il rapporto fra la lunghezza di una circonferenza e il suo diametro.

Vediamo una delle tante dimostrazioni di questa formula:

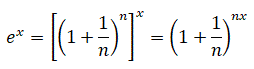
Se n è un numero naturale molto grande possiamo scrivere:


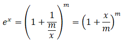
Ponendo nx = m si ottiene:


Cioè


La formula di de Moivre sulle potenze di un numero complesso ci permette di scrivere:


dove x è l'angolo espresso in radianti. Ora, se m tende all'infinito cos x/m tende a 1 e sin x/m tende a x/m e quindi si ha:


Possiamo quindi scrivere:


Cioè


Questa espressione rappresenta il punto del cerchio unitario sul piano complesso che forma un angolo x (in radianti) con l'asse positivo dei numeri reali come mostrato in figura


Quando x è uguale a pi greco il cos Π è uguale a -1 e il sin Π è uguale a zero e quindi si ottiene l'identità di Eulero:



© giuseppe sarnataro