Integrazione delle funzioni razionali fratte

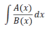
Consideriamo l'integrale di una funzione razionale fratta del tipo:

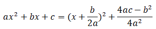
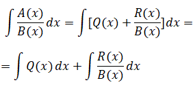
dove A(x) e B(x) sono due funzioni razionali intere con coefficienti reali e prime fra loro. Se il grado del numeratore non è minore di quello del denominatore dividendo il numeratore per il denominatore si ottiene:

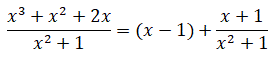
dove Q(x) è il quoziente e R(x) è il resto della divisione. Ad esempio, data la funzione fratta:

dividendo il numeratore per il denominatore si ottiene:

Pertanto l'integrale iniziale può essere ricondotto alla somma di un integrale di una funzione razionale intera con un integrale di una funzione razionale fratta il cui numeratore è di grado inferiore a quello del denominatore. Avendo già studiato i metodi di integrazione di funzioni razionali intere occupiamoci ora dei metodi di integrazione di funzioni razionali fratte il cui numeratore è di grado inferiore a quello del denominatore. Distinguiamo tre casi che dipendono dal grado del denominatore B(x):

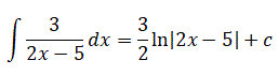
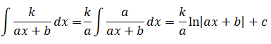
  • Primo caso: grado di B(x) = 1

    L'integrale è del tipo:

    con a≠0. Il calcolo di questi integrali sono immediati essendo:

    • Esempio 1: Calcola:

      Applicando la formula si ha:

  • Secondo caso: grado di B(x) = 2

    I possibili integrali sono del tipo:

    In base al valore del discriminante

    dell'equazione associata ax2+bx+c=0 distinguiamo tre sottocasi:

    • Primo sottocaso: Δ > 0

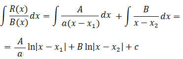
      Essendo Δ > 0 l'equazione ax2+bx+c=0 ammette due radici reali e distinte x1, x2 ed è scomponibile in

      a(x - x1)(x - x2)=0

      Ne segue che la funzione fratta è, a sua volta, scomponibile in una somma di frazioni integrabili in modo elementare:

      dove A e B sono due numeri reali. E quindi:

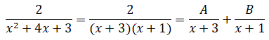
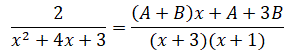
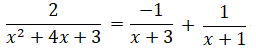
      • Esempio 2: Calcola:

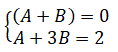
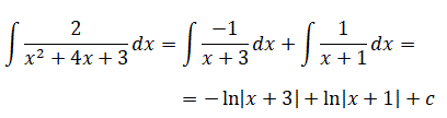
        La funzione x2+4x+3 ha per radici x1=-3 e x2=-1. Possiamo allora, scomponendo il denominatore, scrivere:

        e mettendo a denominatore comune si ha:

        La funzione fratta iniziale e la fuzione fratta ottenuta con i numeri A e B hanno lo stesso denominatore e quindi affinchè siano uguali le due funzione fratte devono essere uguali anche i numeratori:

        Quindi, per il principio di identità dei polinomi si ha:

        Cioè:

        che ha per soluzione A=-1 e B=1 e quindi:

        Possiamo ora, calcolare l'integrale trasformato in una somma di funzioni fratte integrabili in modo elementare:

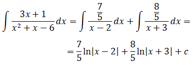
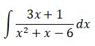
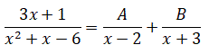
      • Esempio 3: Calcola:

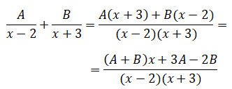
        La funzione x2+x-6 ha per radici x1=2 e x2=-3. Possiamo allora scrivere:

        e mettendo a denominatore comune si ha

        confrontando il numeratore della funzione iniziale con quello della funzione finale possiamo scrivere:

        e il sistema ha per soluzione A=7/5 e B=8/5 e quindi:

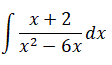
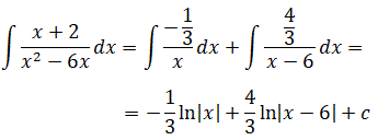
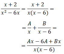
      • Esempio 4: Calcola:

        La funzione x2-6x ha per radici x1=0 e x2=6. Possiamo allora scrivere:

        confrontando il numeratore della funzione iniziale con quello della funzione finale possiamo scrivere:

        Quindi:

    • Secondo sottocaso: Δ = 0

      Essendo Δ = 0 l'equazione ax2+bx+c=0 ammette due radici reali coincidenti x1=x2 ed è scomponibile in

      a(x - x1)2 = 0

      In base al grado di R(x) possiamo distinguere due casi:

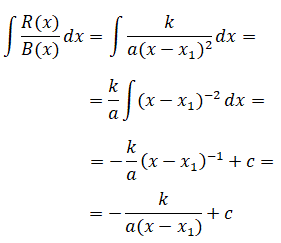
      • grado di R(x) = 0

        L'integrale è del tipo:

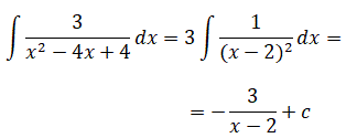
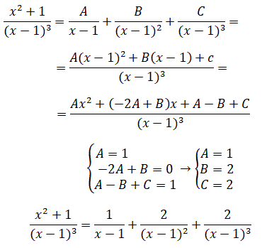
        • Esempio 5: Calcola:

          La funzione x2-4x+4 ha due radici coincidenti x1=x2=2 e quindi possiamo scrivere:

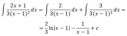
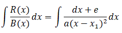
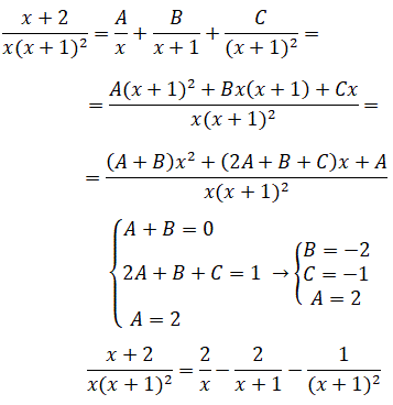
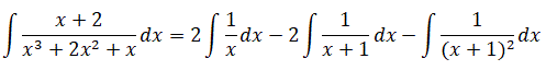
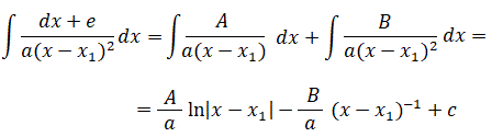
      • grado di R(x) = 1

        L'integrale è del tipo:

        Ora, la funzione fratta è scomponibile in una somma di frazioni integrabili in modo elementare:

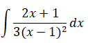
        • Esempio 6: Calcola:

          Scomponiamo la funzione fratta nella somma di due funzioni fratte:

          Possiamo ora, calcolare l'integrale trasformato in una somma di funzioni fratte integrabili in modo elementare:

    • Terzo sottocaso: Δ < 0

      La funzione ax2+bx+c è irriducibile e distinguiamo due casi in base al grado di R(x)

      • grado di R(x)=0

        L'integrale è del tipo:

        Il metodo di integrazione consiste nell'applicare il completamento del quadrato del trinomio di secondo grado

        in modo da poter ottenere, con alcuni passaggi algebrici, un integrale del tipo:


        Vediamo un esempio

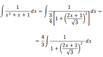
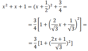
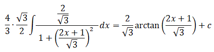
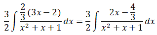
        • Esempio 7: Calcola:

          Applicando il completamento del quadrato a x2+x+1 si ha:

          Riscrivendo l'integrale si ha:

          Moltiplicando e dividendo per 2/√3 si ottiene:

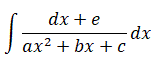
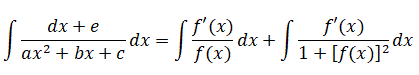
      • grado di R(x)=1

        L'integrale è del tipo

        La strategia che si utilizza per risolvere questi tipi di integrali consiste nello scomporre la funzione fratta in una somma di frazioni integrabili immediatamente del tipo:

        Vediamo un esempio.

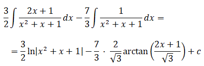
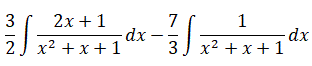
        • Esempio 8: Calcola:

          Scomponiamo la funzione fratta in due frazioni in modo che il numeratore della prima frazione sia la derivata del denominatore ossia 2x+1. Moltiplicando e dividendo per 2/3 possiamo ottenere al numeratore 2x (il primo termine della derivata del denominatore).

          Aggiungendo e togliendo +7/3 possiamo ottenere al numeratore +1 (il secondo termine della derivata del denominatore).

          Utilizzando le proprietà degli integrali possiamo scomporrere l'integrale iniziale nella somma di due integrali:

          Il primo integrale porta a una funzione logaritmo mentre il secondo integrale, (vedi esempio 7), porta a una funzione arcotangente.

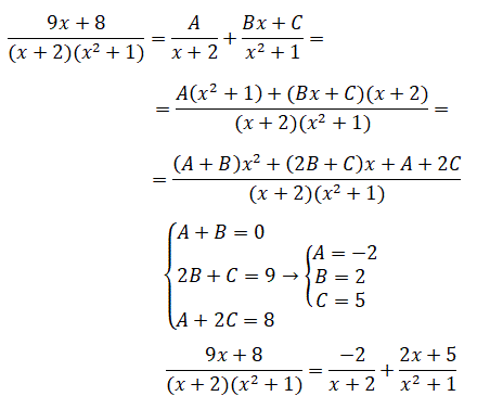
  • Terzo caso: grado di B(x) > 2

    In questi casi si procede come segue:

    1. Fattorizzare il denominatore B(x) in modo da ottenere fattori di primo grado o fattori irriducibili di secondo grado;

    2. Scomporre la funzione integranda come somma di frazioni aventi per denominatori i fattori di B(x);

    3. Applicare i metodi di integrazione dei casi precedenti.

    Vediamo tre esempi.

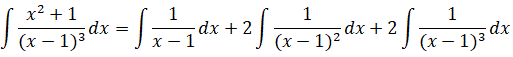
    • Esempio 9: Calcola:

      Fattorizziamo il denominatore in modo da ottenere fattori di primo grado o fattori irriducibili di secondo grado.

      Scomponiamo la funzione integranda come somma di frazioni aventi per denominatori i fattori del denominatore.

      Riscriviamo l'integrale.

      Calcoliamo i tre integrali.

    • Esempio 10: Calcola:

      Fattorizziamo il denominatore in modo da ottenere fattori di primo grado o fattori irriducibili di secondo grado.

      Scomponiamo la funzione integranda come somma di frazioni aventi per denominatori i fattori del denominatore.

      Riscriviamo l'integrale.

      Calcoliamo i tre integrali.

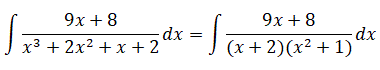
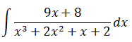
    • Esempio 11: Calcola:

      Scomponiamo la funzione integranda come somma di frazioni aventi per denominatori i fattori del denominatore.

      Riscriviamo l'integrale.

      Calcoliamo i tre integrali.



© copyright giuseppe.com