Integrali indefiniti
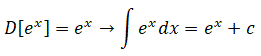
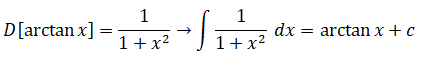
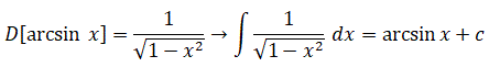
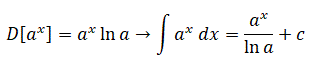
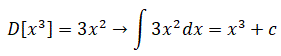
Un semplice metodo per calcolare alcuni integrali indefiniti consiste nel "leggere al contrario" le derivate delle funzioni elementari. Gli integrali indefiniti determinati in questo modo sono detti integrali immediati:
![]()
![]()
![]()
![]()
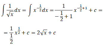
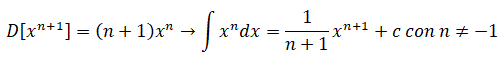
Bisogna escludere n = -1 perchè altrimenti nel risultato dell'integrazione si ottiene una frazione con denomitore uguale a 0 e quindi la funzione primitiva perderebbe di significato.
![]()
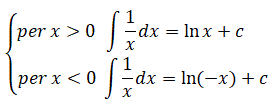
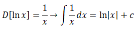
La funzione ln x è definita nell'intervallo ]0, +∞[ mentre la funzione 1/x è definita in ]-∞, 0;[ ∪ ]0, +∞[ e quindi bisogna distinguere i due casi:
![]()
e le due soluzioni sono indicate con ln|x|+c
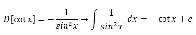
![]()
![]()
![]()
![]()
![]()
![]()
![]()
![]()
![]()
Vediamo alcuni esempi:
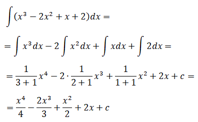
Esempio 1: Calcola:
![]()
Applicando le proprietà degli integrali indefiniti e le formule degli integrali immediati si ha:
![]()
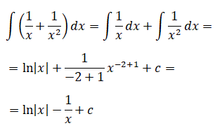
Esempio 2: Calcola:
![]()
Applicando le formule degli integrali immediati si ha:
![]()
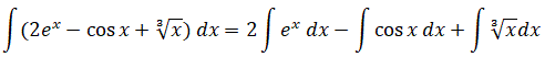
Esempio 3: Calcola:
![]()
Applicando le formule degli integrali immediati si ha:
![]()
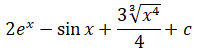
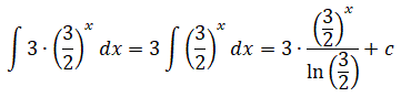
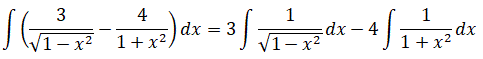
Esempio 4: Calcola:
![]()
Applicando le proprietà degli integrali indefiniti e le formule degli integrali immediati si ha:
![]()
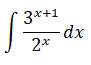
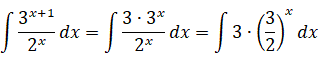
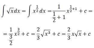
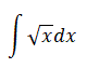
Esempio 5: Calcola:
![]()
Applicando le proprietà delle potenze possiamo scrivere:
![]()
Applicando le proprietà degli integrali indefiniti e le formule degli integrali immediati si ha:
![]()
Esempio 6: Calcola:
![]()
Applicando le proprietà degli integrali indefiniti si ha:
![]()
Applicando le formule degli integrali immediati si ha:
![]()
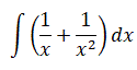
Esempio 7: Calcola:
![]()
Applicando le proprietà degli integrali indefiniti si ha:
![]()
Applicando le formule degli integrali immediati si ha:
![]()