Integrali che si possono ricondrre a quelli immediati

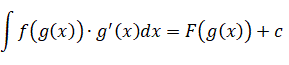
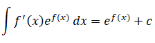
L'integrale di una funzione composta moltiplicata per la derivata della funzione interna è uguale alla primitiva della funzione esterna:

Gli integrali indefiniti determinati in questo modo sono detti integrali immediati generalizzati perchè si possono ottenere facilmente dalle formule degli integrali immediati sostituendo x con f(x) e dx con f'(x)dx.

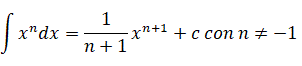
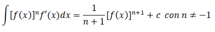
  • Questa formula è ottenibile dall'integrale immediato

    sostituendo x con f(x) e dx con f'(x)dx.

    • Esempio 1: Calcoliamo l'integrale:

      Si intuisce che:

      Pertanto si ha:

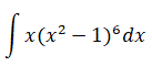
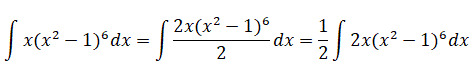
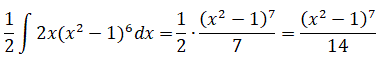
    • Esempio 2: Calcoliamo l'integrale:

      La derivata di (x2-1) è 2x ma nell'integrale c'è x. Possiamo ovviare ciò moltiplicando e dividendo per 2.

      e applicando la formula si ha:

  • Questa formula è ottenibile dall'integrale immediato

    sostituendo x con f(x) e dx con f'(x)dx.

    • Esempio 3: Calcoliamo l'integrale:

      Applicando la formula si ha:

    • Esempio 4: Calcoliamo l'integrale:

      Se consideriamo:

      si ha:

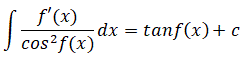
  • Questa formula è ottenibile dall'integrale immediato

    sostituendo x con f(x) e dx con f'(x)dx.

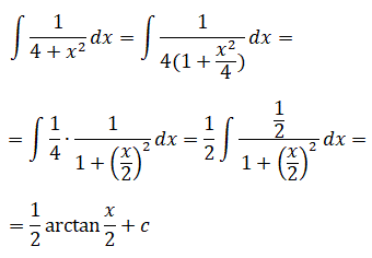
    • Esempio 5: Calcoliamo l'integrale:

      Applicando la formula si ha:

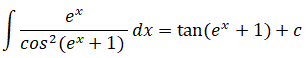
    • Esempio 6: Calcoliamo l'integrale:

      Applicando la formula si ha:

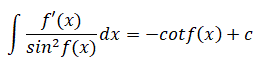
  • Questa formula è ottenibile dall'integrale immediato

    sostituendo x con f(x) e dx con f'(x)dx.

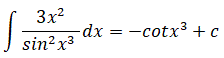
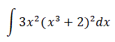
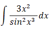
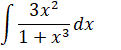
    • Esempio 7: Calcoliamo l'integrale:

      Moltiplicando e dividendo per 3 e applicando la formula si ha:

    • Esempio 8: Calcoliamo l'integrale:

      Applicando la formula si ha:

  • Questa formula è ottenibile dall'integrale immediato

    sostituendo x con f(x) e dx con f'(x)dx.

    • Esempio 9: Calcoliamo l'integrale:

      Moltiplicando e dividendo per 4 e applicando la formula si ha:

    • Esempio 10: Calcoliamo l'integrale:

      Moltiplicando e dividendo per 2 e applicando la formula si ha:

  • Questa formula è ottenibile dall'integrale immediato

    sostituendo x con f(x) e dx con f'(x)dx.

    • Esempio 11: Calcoliamo l'integrale:

      Moltiplicando e dividendo per 3 e applicando la formula si ha:

    • Esempio 12: Calcoliamo l'integrale:

      Dividendo ciascun termine del numeratore per 2x e applicando la formula si ha:

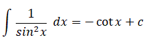
  • Questa formula è ottenibile dall'integrale immediato

    sostituendo x con f(x) e dx con f'(x)dx.

    • Esempio 13: Calcoliamo l'integrale:

      Applicando la formula si ha:

    • Esempio 14: Calcoliamo l'integrale:

      Applicando le proprietà degli integrali e la formula si ha:

    • Esempio 15: Calcoliamo l'integrale:

      Con alcuni passaggi algebrici, applicando le proprietà degli integrali e la formula si ha:

  • Questa formula è ottenibile dall'integrale immediato

    sostituendo x con f(x) e dx con f'(x)dx.

    • Esempio 16: Calcoliamo l'integrale:

      Applicando la formula si ha:

    • Esempio 17: Calcoliamo l'integrale:

      Applicando la formula si ha:

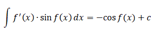
  • Questa formula è ottenibile dall'integrale immediato

    sostituendo x con f(x) e dx con f'(x)dx.

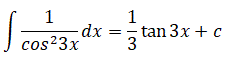
    • Esempio 18: Calcoliamo l'integrale:

      Applicando la formula si ha:

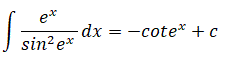
    • Esempio 19: Calcoliamo l'integrale:

      Moltiplicando e dividendo per 3 e applicando la formula si ha:

  • Questa formula è ottenibile dall'integrale immediato

    sostituendo x con f(x) e dx con f'(x)dx.

    • Esempio 20: Calcoliamo l'integrale:

      Con alcuni passaggi algebrici, applicando le proprietà degli integrali e la formula si ha:

    • Esempio 21: Calcoliamo l'integrale:

      Portando 9 fuori radice, applicando le proprietà degli integrali e la formula si ha:



© copyright giuseppe.com