Integrazione per scomposizione

Il metodo di integrazione per scomposizione consiste nell'esprimere la funzione f(x) da integrare come somma di un numero finito di funzioni elementari che hanno integrali immediati. Vediamo alcuni esempi:

  • Esempio 1: Calcola:

    Scriviamo la funzione da integrare come somma di funzioni potenza dividendo ciascun termine del numeratore per il denominatore:

    Ora, l'integrale può essere calcolato applicando le proprietà degli integrali indefiniti e le formule degli integrali immediati:

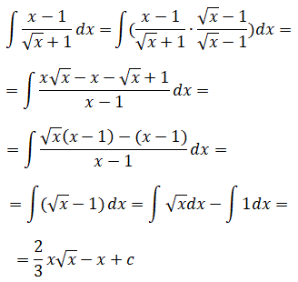
  • Esempio 2: Calcola:

    Razionalizzando e applicando le proprietà degli integrali indefiniti e le formule degli integrali immediatisi ha:

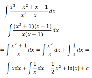
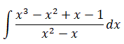
  • Esempio 3: Calcola:

    Scomponendo numeratore e denominatore e applicando le proprietà degli integrali indefiniti e le formule degli integrali immediati si ha:

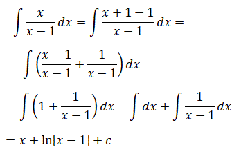
  • Esempio 4: Calcola:

    Aggiungendo +1 e -1 al numeratore possiamo scrivere:



© copyright giuseppe.com