Integrazione per parti
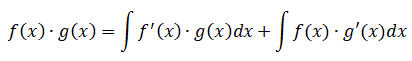
Siano f(x) e g(x) due funzioni continue assieme alla loro derivata prima nell'intervallo [a, b] e consideriamo la derivata del loro prodotto:
![]()
Integrando ambo i membri si ha:
![]()
Cioè:
![]()
E risolvendo rispetto a
![]()
si ottiene:
![]()
Questa relazione è detta formula di integrazione per parti.
Spesso questa formula viene utilizzata per trasformare un integrale in cui la funzione integranda è composta da due fattori (un fattore finito f(x) e un fattore differenziale g'(x)dx) in un altro integrale più semplice da calcolare.
Vediamo alcuni esempi:
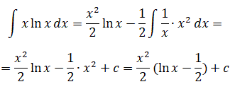
Esempio 1: Calcola:
![]()
Ponendo f(x)=ln x come fattore finito g'(x)= xdx come fattore differenziale si ha:
![]()
Sostituendo nella formula di integrazione per parte si ottiene:
![]()
Esempio 2: Calcola:
![]()
Ponendo f(x)=x come fattore finito g'(x)= sinxdx come fattore differenziale si ha:
![]()
Sostituendo nella formula di integrazione per parte si ottiene:
![]()
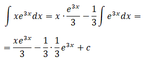
Esempio 3: Calcola:
![]()
Ponendo f(x)=x come fattore finito g'(x)= e3xdx come fattore differenziale si ha:
![]()
Sostituendo nella formula di integrazione per parte si ottiene:
![]()
Esempio 4: Calcola:
![]()
Ponendo f(x)=x come fattore finito g'(x)= 1/cos2xdx come fattore differenziale si ha:
![]()
Sostituendo nella formula di integrazione per parte si ottiene:
![]()
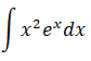
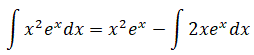
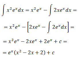
Esempio 5: Calcola:
![]()
Ponendo f(x)=x2 come fattore finito g'(x)=exdx come fattore differenziale si ha:
![]()
Sostituendo nella formula di integrazione per parte si ottiene:
![]()
Applichiamo ancora il metodo dell'integrazione per parti all'integrale nel secondo membro ponendo f(x)=2x come fattore finito g'(x)=exdx come fattore differenziale
![]()