Integrali indefiniti

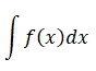
Si dice integrale indefinito di una funzione f(x) e si indica con il simbolo:

(che si legge: "integrale indefinito di f(x) in dx") l'insieme di tutte le primitive di f(x) (il simbolo "dx" indica la variabile rispetto alla quale si fa l'operazione di integrale indefinito).

Pertanto se F(x) è una primitiva di f(x) si ha:

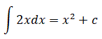
Ad esempio:

In pratica le operazioni di derivazione e di integrazione sono una l'inversa dell'altra con una particolarità: l'operazione di derivazione è univoca perchè ad una funzione corrisponde un'unica funzione, mentre l'operazione di integrazione è plurivoca perchè ad una funzione corrispondono un insieme di funzioni:

Per gli integrali indefiniti valgono due importanti proprietà:

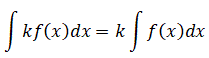
  1. L'integrale del prodotto di una costante k per una funzione è uguale alla costante k per l'integrale della funzione:

    In altre parole, una costante moltiplicativa si può portare dentro o fuori dal segno di integrazione.

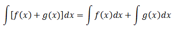
  2. L'integrale della somma di più funzioni è uguale alla somma degli integrali delle singole funzioni:



© copyright giuseppe.com