Integrazione per sostituzione

Gli integrali della forma

possono essere trasformati in integrali più semplici nella forma di integrali immediati

in cui figura la variabile ausiliaria t. Ciò si ottiene ponendo

t = g(x)

e sostituendo g'(x) dx con dt. Questo metodo di integrazione detto integrazione per sostituzione può essere utilizzato anche per risolvere integrali che non sono facilmente riconducibili a forme già note integrabili immediatamente. Vediamo alcuni esempi:

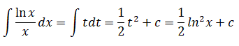
  • Esempio 1: Calcola:

    Poniamo

    t = ln x

    e deriviamo entrambi i membri:

    Sostituendo nell'integrale iniziale si ottiene:

    Ritornando alla variabile x si ha:

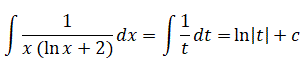
  • Esempio 2: Calcola:

    Poniamo

    t = ln (x + 2)

    e deriviamo entrambi i membri:

    Sostituendo nell'integrale iniziale si ottiene:

    Ritornando alla variabile x si ha:

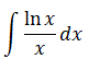
  • Esempio 3: Calcola:

    Poniamo

    t = cos x

    e deriviamo entrambi i membri:

    dt = -sin x dx

    Sostituendo nell'integrale iniziale si ottiene:

    Ritornando alla variabile x si ha:

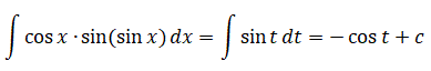
  • Esempio 4: Calcola:

    Poniamo

    t = sin x

    e deriviamo entrambi i membri:

    dt = cos x dx

    Sostituendo nell'integrale iniziale si ottiene:

    Ritornando alla variabile x si ha:



© copyright giuseppe.com