Derivata di una funzione inversa

Si dice funzione inversa di una funzione y=f(x) quella che si ottiene scambiando di ruolo la x con la y e si indica con il simbolo:

x = f(y) oppure y =f-1(x)

Ad esempio data la funzione y = ln x la corrispondente funzione inversa è x = ln y. La funzione y=f(x) e la sua inversa x=f(y) hanno come grafico due curve simmetriche rispetto alla rette y=(x).

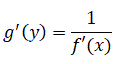
Componendo una funzione e la sua inversa si ottiene sempre la funzione y=x pertanto se indichiamo con h=g(y) la funzione inversa di y=f(x) possiamo scrivere:

g[f(x)] = x

Ora, se calcoliamo la derivata dei due membri dell'equazione precedente si ottiene:

g'[f(x)] ⋅ f'(x) = 1

poichè y=f(x) possiamo scrivere:

g'(y) ⋅ f'(x) = 1

e risolvendo rispetto a g'(y) si ha:

purchè risulti f'(x)≠0.

In generale se h=g(y) è l'inversa di una funzione derivabile y=f(x), per tutti i valori di x, per cui risulta f'(x)≠0 si ha:

Vediamo l'applicazione di questa regola con un esempio:

  • Calcolare la derivata della funzione inversa di y=√x

    Se indichiamo con g(y) la funzione inversa di y=√x applicando la regola di derivazione della funzione inversa si ha:

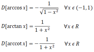
La regola della derivazione di una funzione inversa ci permette di poter determinare la derivate della funzione arcoseno. La funzione inversa di y=arcsin x è x = sin y e quindi g(y)=sin y e applicando la regola si ottiene:

∀x ∈ (-1, 1).

Applicando lo stesso procedimento possiamo determinare le derivate delle inverse delle altre funzioni trigonometriche:

© giuseppe sarnataro