Funzione derivata

Vediamo due esempi sul calcolo della derivata di una funzione:

  • Esempio 1: Determinare la derivata della funzione y=x2 nei suoi punti:

    a)P(1, 1);     b)Q(3, 9)

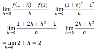
    Calcoliamo la derivata di y=x2 nel punto P(1, 1):


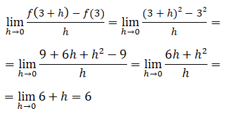
    Calcoliamo la derivata di y=x2 nel punto Q(3, 9):


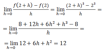
  • Esempio 2: Determinare la derivata della funzione y=x3 nel suo punto P(2, 8).

    Calcoliamo la derivata:



Come si vede dai due esempi il valore della derivata cambia in generale a seconda della funzione di partenza detta anche funzione primitiva e del punto nel quale si vuole calcolare la derivata. Pertanto, la derivata è essa stessa una funzione detta funzione derivata prima o semplicemente funzione derivata e come funzione ha un suo grafico, un suo dominio e delle caratteristiche proprie. Se una funzione f(x) è derivabile in ogni punto x dell'intervallo A si dice che la funzione è derivabile in A. Una volta determinata la funzione derivata prima f'(x) possiamo individuare il dominio dove f'(x) è a sua volta derivabile e determinare la derivata di f'(x) detta derivata seconda oppure derivata di ordine 2 di f(x) e indicarla con il simbolo f"(x). Con lo stesso procedimento possiamo determinare la derivata di ordine 3 e così via.

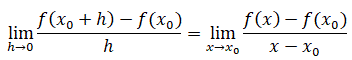
Inoltre, se poniamo:

x = x0 + h

possiamo definire la derivata della funzione y=f(x) in un punto x0 anche con la scrittura:


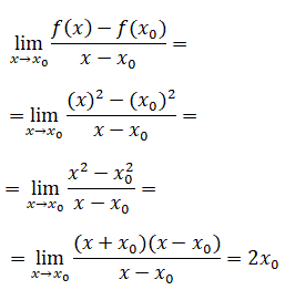
Ad esempio determiniamo la funzione derivata della funzione y=x2 nel generico punto di ascissa x0R.


Pertanto la derivata di y=x2 è y'=2x.

© giuseppe sarnataro