Origine della derivata
Definire cosa si intende per retta tangente ad una circonferenza in un suo punto P è semplice perchè possiamo facilmente osservare che tale retta è quella ha con la curva in comune solo il punto P.
![]()
Questa proprietà è utilizzata anche per determinare l'equazione della retta t tangente alla circonferenza in un suo punto P. Infatti se consideriamo il fascio di rette con centro in P una qualunque retta del fascio incontra la curva in due punti distinti, mentre la retta t tangente è l'unica che incontra la circonferenza in due punti coincidenti nel punto P. Però questa definizione di retta tangente non può essere generalizzata alle altre curve perchè ci sono anche rette che intersecano una curva in un solo punto, ma non sono tangenti alla curva oppure ci sono rette tangenti ad una curva in un punto P che intersecano la curva in un altro punto come si vede dalla figura.
![]()
Pertanto, anche il metodo per la determinazione dell'equazione della retta tangente ad una circonferenza non può essere generalizzato ad una generica curva.
Sorge quindi il problema sia della definizione di retta tangente valida per ogni tipo di curva sia di individuare un procedimento generale per determinare la sua equazione.
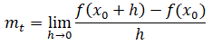
Consideriamo una funzione y=f(x) definita in un dominio [a, b] e due punti appartenenti al suo grafico P e Q aventi per coordinate:P(x0, f(x0)) e Q(x0+h, f(x0+h))
E tracciamo la retta t tangente alla curva nel punto P e la retta secante alla curva PQ.
![]()
Il coefficiente angolare della retta PQ è dato dal rapporto tra la differenza delle ordinate e la differenza delle ascisse dei punti P e Q:
![]()
dove:
Δy = f(x0+h) - f(x0) è detto incremento della variabile y
Δx = (x0+h) - x0 è detto incremento della variabile xè detto rapporto incremento di f(x) relativo al punto x0.
Ora, se immaginiamo di ridurre sempre di più h il punto Q si avvicinerà sempre di più al punto P e se h tende a zero allora il punto Q tende a sovrapporsi al punto P e la secante PQ tende a sovrapporsi alla retta tangente t e il coefficiente angolare mPQ tende a diventare il coefficiente angolare mt della retta tangente t. Perciò possiamo dire che la retta tangente è la posizione limite della secante PQ, quando il punto Q tende al punto P. Utilizzando il concetto di limite possiamo quindi, determinare il coefficiente angolare della retta t tangente alla curva nel punto P con la scrittura:
![]()
Questo limite si presenta nella forma indeterminata 0/0 perchè man mano che h diventa sempre più piccolo, anche l'incremento Δy=[f(x0+h)-f(x0] diventa sempre più vicino a zero. Mediante il calcolo delle forme indeterminate dei limiti possiamo però determinarne il suo valore. Se questo valore è un numero reale finito allora rappresenta il coefficiente angolare della retta tangente alla curva nel suo punto P(x0, f(x0)) e possiamo determinare l'equazione della retta tangente alla curva.
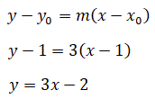
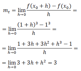
Ad esempio, determiniamo la retta tangente alla curva di equazione y=x3 nel suo punto P(1, 1).
Calcoliamo il coefficiente angolare della retta tangente alla curva nel punto P di acissa x0=1 tramite il limite per h che tende a zero dove h è un piccolo incremento di x0:
![]()
Noto il valore del coefficiente angolare e le coordinate del punto P possiamo determinare l'equazione della retta tangente:
![]()
Possiamo avere la conferma del risultato tracciando il grafico della funzione e della retta y=3x-2.
![]()
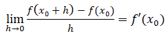
Ad ogni punto della curva di equazione y=f(x) possiamo quindi associare, se esiste, un valore finito che rappresenta la pendenza della retta tangente alla curva in quel punto e tale valore rappresenta anche la variazione puntuale dell'ordinata della funzione che viene detta derivata della funzione y=f(x) calcolata nel punto x0 e indicata con f'(x0) oppure con y' oppure con D f(x).
In generale:
Data una funzione di equazione y=f(x) definita in un intervallo (a, b), si chiama derivata della funzione nel punto x0∈(a, b) e si indica con f'(x0), il limite, se esiste ed è finito per h che tende a zero, del rapporto incrementale di f(x) relativo a x0:
![]()
Se il limite del rapporto incrementale non esiste o è infinito, si dice che la funzione non è derivabile in quel punto.
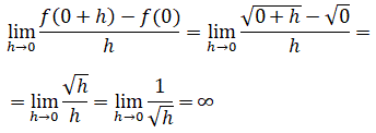
Ad esempio determiniamo, se esiste, la derivata della funzione f(x)=√x nel punto di ascissa x0=0. Calcoliamo il limite del rapporto incrementale per h che tende a zero:
![]()
Essendo il limite infinito non esiste la derivata della funzione f(x)=√x nel punto di ascissa x0=0 pertanto la funzione non è derivabile nel punto (0, 0). Questo risultato ha una interpretazione geometrica perchè la retta tangente alla curva in (0, 0) coincide con l'asse delle y e quindi, come sappiamo dalla geometria analitica, non è possibile determinare la sua pendenza.
![]()
Poichè la derivata di una funzione è un limite e i limiti possono essere calcolati a destra e a sinistra del punto, ha senso definire la derivata destra e la derivata sinistra di una funzione.
![]()
E dalla definizione di derivata si deduce che una funzione è derivabile in x0 se la derivata destra e sinistra sono finite ed uguali tra loro.