Derivata di una funzione composta esponenziale

Una funzione si dice composta esponenziale quando ha per base una funzione e per esponente un'altra funzione e ciò si esprime con il simbolo:

y = f(x)g(x)

con f(x) > 0. Ad esempio la funzione:

y = xx

ha per base la funzione f(x) = x e per esponente g(x) = x. Ora, essendo sia la base che l'esponente una funzione nella variabile x risulta più complicato calcolare la derivata della funzione per ogni x appartenente al dominio della funzione. Applicando la definizione di logaritmo possiamo, però trasformare ogni funzione composta esponenziale in un'altra funzione equivalente avente per base il numero e.

y = f(x)g(x) = eln[f(x)g(x)] = eg(x)ln[f(x)]

Con questa trasformazione la funzione composta esponenziale primitiva diventa una funzione composta esponenziale in cui la base è il numero di Nepero e quindi non contiene la variabile x ed è più semplice calcolare la sua derivata applicando la regola delle funzioni composte. Nella funzione composta avente per base il numero e l'esponente è costituito dalla funzione g(x) moltiplicata per la funzione composta in cui la funzione esterna è lnx e quella interna è f(x). Per derivare questa funzione bisogna quindi applicare la regola della funzione composta, la regola del prodotto di due funzione e la regola della funzione composta:

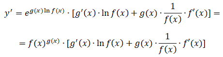
Essendo

y = f(x)g(x) = eg(x)ln[f(x)]

Sostituendo si ottiene:

Vediamo l'applicazione pratica di questa regola con due esempi.

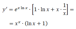
  • Esempio 1: Calcoliamo la derivata di y = xx.

    Eseguiamo il cambio di base:

    y = xx = exln x

    applichiamo la derivata:

  • Esempio 2: Calcoliamo la derivata di y = (sin x)cos x.

    Eseguiamo il cambio di base:

    y = (sin x)cos x = e(cos x)ln sin x

    applichiamo la derivata:

© giuseppe sarnataro