Derivate di alcune funzioni elementari

Determiniamo le formule di derivazione delle funzioni elementari applicando sempre lo stesso procedimento, ossia calcoliamo il limite per h→0 del rapporto incrementale. Queste formule ci permettono di poter determinare la derivata delle funzioni senza dover calcolare il limite del rapporto incrementale.

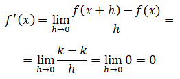
  • Funzione costante f(x) = k con x∈R

    Calcoliamo:

    Pertanto, la derivata di una funzione costante è uguale a zero:

    f(x) = k → f'(x) = 0

    Questo risultato ha una immediata interpretazione geometrica: il grafico della funzione f(x)=k è una retta parallela all'asse delle x e la tangente in ciascun punto di questa retta è a sua volta parallela all'asse delle x e quindi avrà coefficiente angolare uguale a zero. Ricordiamo che la derivata prima di una funzione in un punto rappresenta il coefficiente angolare della retta tangente in quel punto.

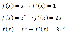
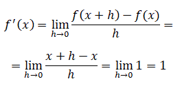
  • Funzione identica f(x) = x con x∈R

    Calcoliamo:

    Pertanto, la derivata di una funzione identica è uguale a 1:

    f(x) = x → f'(x) = 1

    Anche questo risultato ha una immediata interpretazione geometrica: il grafico della funzione y=x è la bisettrice del I e III quadrante e la tangente in ciascun punto di questa retta coincide con la retta stessa che ha coefficiente angolare uguale a 1.

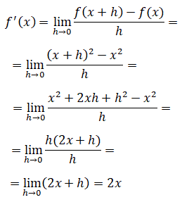
  • Funzione quadratica f(x) = x2 con x∈R

    Calcoliamo:

    Pertanto, la derivata di una funzione quadratica è uguale a 2x:

    f(x) = x2 → f'(x) = 2x

  • Funzione cubica f(x) = x3 con x∈R

    Calcoliamo:

    Pertanto, la derivata di una funzione cubica è uguale a 3x2:

    f(x) = x3 → f'(x) = 3x2

  • Funzione potenza f(x) = xn con n∈N; x∈R

    Se consideriamo che:

    Possiamo facilmente intuire che:

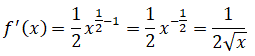
  • Funzione radice quadrata f(x) = √x con x>0

    Ponendo la radice quadrata sotto forma di x elevato a 1/2:

    possiamo poi applicare la regola della derivazione di una funzione potenza con n∈R:

    Pertanto, la derivata di una funzione radice quadrata è uguale a una frazione che ha per numeratore 1 e per denominatore due radice di x:

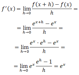
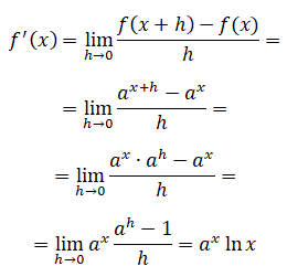
  • Funzione esponenziale con base e: f(x) = ex

    Calcoliamo:

    Pertanto, la derivata di una funzione esponenziale con base e è uguale alla funzione primitiva:

    f(x) = ex → f'(x) = ex

    Questa è l'unica funzione in cui la coorispondente derivata è uguale alla funzione primitiva.

  • Funzione esponenziale con base a: f(x) = ax

    Calcoliamo:

    Pertanto si ha:

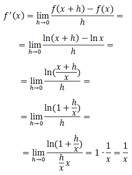
  • Funzione logaritmica naturale f(x) = ln x

    Calcoliamo:

    Pertanto si ha:

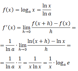
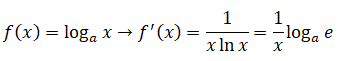
  • Funzione logaritmica

    Effettuando il cambio di base dei logaritmi si ottiene:

    Pertanto si ha:

  • Funzione seno f(x) = sin x

    Calcoliamo:

    pertanto si ha:

    f(x) = sin x → f'(x) = cos x

  • Funzione coseno f(x) = cos x

    Calcoliamo:

    pertanto si ha:

    f(x) = cos x → f'(x) = -sin x

© giuseppe sarnataro