Regole di derivazione: somma e prodotto

Esistono delle regole molto semplici per calcolare le derivate delle funzioni ottenute da quelle elementari con le operazioni di addizione o di moltiplicazione fra due o più funzioni derivabili. Una volta acquisito queste regole possiamo facilmente calcolare le derivate somma o prodotto di funzioni senza dover calcolare ogni volta il limite del rapporto incrementale per h→0.

  • Derivata della somma di due funzioni:

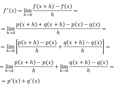
    La derivata della somma di due funzioni p(x) e q(x) derivabili nel punto x è uguale alla somma delle derivate di queste funzioni:

    Se f(x) = p(x) + q(x) allora f'(x) = p'(x) + q'(x)

    Dimostrazione:

    Questa regola può essere generalizzata anche alla derivata della somma di tre o più funzione.

    • Esempio 1: Calcolare la derivata della funzione f(x) = x3 + ex

      f'(x) = 3x2 + ex

    • Esempio 2: Calcolare la derivata della funzione f(x) = 2x + sin x

      f'(x) = 2xln 2 + cos x

    • Esempio 3: Calcolare la derivata della funzione f(x) = ln x + cos x + 5

      f'(x) = 1/x - sin x + 0

  • Derivata della differenza di due funzioni:

    La derivata della differenza di due funzioni p(x) e q(x) derivabili è uguale alla differenza delle derivate di queste funzioni:

    Se f(x) = p(x) - q(x) allora f'(x) = p'(x) - q'(x)

    La dimostrazione di questa regola è sostanzialmente uguale a quella della somma basta sostituire il segno di operazione + con il segno -. Inoltre, la regola della somma e la regola della differenza possono essere estese nella somma algebrica di due o più funzioni:

    la derivata della somma algebrica di due o più frazioni derivabili è uguale alla somma algebrica delle derivate di queste funzioni.

    • Esempio 4: Calcolare la derivata della funzione f(x) = x3 - x2

      f'(x) = 3x2 - 2x

    • Esempio 5: Calcolare la derivata della funzione f(x) = sin x - cos x

      f'(x) = cos x + sin x

    • Esempio 6: Calcolare la derivata della funzione f(x) = x - cos x + ln x

      f'(x) = 1 + sin x + 1/x

  • Derivata del prodotto di due funzioni:

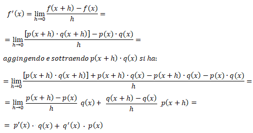
    La derivata del prodotto di due funzioni p(x) e q(x) derivabili è uguale al prodotto della derivata della prima funzione per la seconda non derivata più la derivata della seconda funzione per la prima non derivata.

    Se f(x) = p(x) ⋅ q(x) allora f'(x) = p'(x) ⋅ q(x) + q'(x) ⋅ p(x)

    Dimostrazione:

    Questa regola si generalizza nei casi di proddoto di tre o più funzioni:

    La derivata di un prodotto di due o più funzioni derivabili è uguale alla somma dei prodotti che si ottengono moltiplicando la derivata di ogni fattore per tutti i fattori rimanenti.

    Inoltre, nel caso particolare:

    f(x) = k ⋅ q(x)

    in cui una delle due funzioni è una costante applicando la regola del prodotto si ottiene:

    f'(x) = k ⋅ q'(x)

    Cioè: la derivata del prodotto di una costante per una funzione derivabile è uguale al prodotto della costante per la derivata della funzione.

    • Esempio 7: Calcolare la derivata della funzione f(x) = x3 ⋅ sin x

      f'(x) = 3x2sin x + x3cos x

    • Esempio 8: Calcolare la derivata della funzione f(x) = ex ⋅ sin x

      f'(x) = exsin x + excos x

    • Esempio 9: Calcolare la derivata della funzione f(x) = x2 ⋅ √x ⋅ln x

© giuseppe sarnataro