Regole di derivazione: reciproco e quoziente

Esiste una regola anche per calcolare sia la derivata del reciproco di una funzione derivabile sia la derivata del quoziente di due funzioni derivabili.

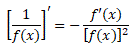
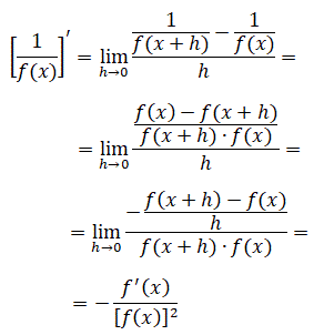
  • Derivata del reciproco di una funzione:

    La derivata del reciproco di una funzione f(x) derivabile per tutti i valori di x per cui f(x)≠0 è uguale alla frazione avente come numeratore l'opposto della derivata di f(x) e come denominatore il quadrato di f(x):

    Dimostrazione:

    • Esempio 1: Calcolare la derivata del reciproco di f(x) = x2 + 1

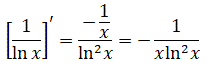
    • Esempio 2: Calcolare la derivata del reciproco della funzione f(x) = ln x

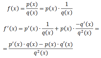
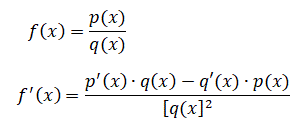
  • Derivata del quoziente di due funzioni:

    La derivata del quoziente di due funzioni p(x) e q(x) derivabili per tutti i valori di x per cui q(x)≠0 è uguale alla frazione avente come numeratore la differenza tra la derivata del numeratore per il denominatore non derivato e il numeratore non derivato per la derivata del denominatore e come denominatore il denominatore della funzione di partenza al quadrato:

    Dimostrazione:

    Si scrive il quoziente come prodotto e si applica la regola del prodotto fra due funzioni:

    • Esempio 3: Calcolare la derivata della funzione f(x) = tan x

    • Esempio 4: Calcolare la derivata della funzione f(x) = cotan x

© giuseppe sarnataro